| Height | Weight | 
|---|---|
| 173 | 80 | 
| 169 | 68 | 
| 176 | 72 | 
| 166 | 75 | 
| 161 | 70 | 
| 164 | 65 | 
| 160 | 62 | 
| 158 | 60 | 
| 180 | 85 | 
| 187 | 92 | 
Regression Analysis in R

While this tutorial originally showed how to perform regression analysis and mixed-effects modelling in R, we have decided to split the tutorial into a regression tutorial (the present tutorial) and a separate tutorial on mixed-effects modelling. You can find the tutorial on mixed-effects modelling in R here.
Introduction
This tutorial introduces regression analyses (also called regression modeling) using R.1 Regression models are among the most widely used quantitative methods in the language sciences to assess if and how predictors (variables or interactions between variables) correlate with a certain response.

This tutorial is aimed at intermediate and advanced users of R with the aim of showcasing how to perform regression analysis using R. The aim is not to provide a fully-fledged analysis but rather to show and exemplify common regression types, model diagnostics, and model fitting using R.
Regression models are so popular because they can
- incorporate many predictors in a single model (multivariate: allows to test the impact of one predictor while the impact of (all) other predictors is controlled for) 
- extremely flexible and and can be fitted to different types of predictors and dependent variables 
- provide output that can be easily interpreted 
- conceptually relative simple and not overly complex from a mathematical perspective 
R offers various ready-made functions with which implementing different types of regression models is very easy.
The most widely use regression models are
- linear regression (dependent variable is numeric, no outliers) 
- logistic regression (dependent variable is binary) 
- ordinal regression (dependent variable represents an ordered factor, e.g. Likert items) 
- multinomial regression (dependent variable is categorical) 
The major difference between these types of models is that they take different types of dependent variables: linear regressions take numeric, logistic regressions take nominal variables, ordinal regressions take ordinal variables, and Poisson regressions take dependent variables that reflect counts of (rare) events. Robust regression, in contrast, is a simple multiple linear regression that is able to handle outliers due to a weighing procedure.
If regression models contain a random effect structure which is used to model nestedness or dependence among data points, the regression models are called mixed-effect models. regressions that do not have a random effect component to model nestedness or dependence are referred to as fixed-effect regressions (we will have a closer look at the difference between fixed and random effects below).
There are two basic types of regression models:
- fixed-effects regression models 
- mixed-effects regression models (covered in this tutorial). 
Fixed-effects regression models are models that assume that all data points are independent and that the data does not have a hierarchical structure, i.e. data where data points are not nested or grouped in higher order categories (e.g. students within classes). This tutorial focuses on fixed-effects regression models while the second part focuses on mixed-effects regression models.
There exists a wealth of literature focusing on regression analysis and the concepts it is based on. For instance, there are Achen (1982), Bortz (2006), Crawley (2005), Faraway (2002), Field, Miles, and Field (2012), Gries (2021), Levshina (2015), and Wilcox (2009) to name just a few. For very good introductions to regression modelling specifically with R, please see Field, Miles, and Field (2012), Gries (2021), Winter (2019), or, if you are already advanced and have R skills, Baayen (2008).
The basic principle
The idea behind regression analysis is expressed formally in the equation below where \(f_{(x)}\) is the \(y\)-value we want to predict, \(\alpha\) is the intercept (the point where the regression line crosses the \(y\)-axis), \(\beta\) is the coefficient (the slope of the regression line).
\[\begin{equation} f_{(x)} = \alpha + \beta_{i}x + \epsilon \end{equation}\]
To understand what this means, let us imagine that we have collected information about the how tall people are and what they weigh. Now we want to predict the weight of people of a certain height - let’s say 180cm.
We can run a simple linear regression on the data and we get the following output:
# model for upper panels
summary(glm(Weight ~ 1, data = df))
Call:
glm(formula = Weight ~ 1, data = df)
Coefficients:
            Estimate Std. Error t value Pr(>|t|)    
(Intercept)   72.900      3.244   22.48 3.24e-09 ***
---
Signif. codes:  0 '***' 0.001 '**' 0.01 '*' 0.05 '.' 0.1 ' ' 1
(Dispersion parameter for gaussian family taken to be 105.2111)
    Null deviance: 946.9  on 9  degrees of freedom
Residual deviance: 946.9  on 9  degrees of freedom
AIC: 77.885
Number of Fisher Scoring iterations: 2To estimate how much some weights who is 180cm tall, we would multiply the coefficient (slope of the line) with 180 (\(x\)) and add the value of the intercept (point where line crosses the \(y\)-axis). If we plug in the numbers from the regression model below, we get
\[\begin{equation} -93.77 + 0.98 ∗ 180 = 83.33 (kg) \end{equation}\]
A person who is 180cm tall is predicted to weigh 83.33kg. Thus, the predictions of the weights are visualized as the red line in the figure below. Such lines are called regression lines. Regression lines are those lines where the sum of the red lines should be minimal. The slope of the regression line is called coefficient and the point where the regression line crosses the y-axis at x = 0 is called the intercept. Other important concepts in regression analysis are variance and residuals. Residuals are the distance between the line and the points (the red lines) and it is also called variance.

Some words about the plots in the figure above: the upper left panel shows the raw observed data (black dots). The upper right panel shows the mean weight (blue line) and the residuals (in red). residuals are the distances from the expected or predicted values to the observed values (in this case the mean is the most most basic model which we use to predict values while the observed values simply represent the actual data points). The lower left panel shows observed values and the regression line, i.e, that line which, when drawn through the data points, will have the lowest sum of residuals. The lower right panel shows the regression line and the residuals, i.e. the distances between the expected or predicted values to the actual observed values (in red). Note that the sum of residuals in the lower right panel is much smaller than the sum of residuals in the upper right panel. This suggest that considering Height is a good idea as it explains a substantive amount of residual error and reduces the sum of residuals (or variance).2
Now that we are familiar with the basic principle of regression modeling - i.e. finding the line through data that has the smallest sum of residuals, we will apply this to a linguistic example.
Preparation and session set up
This tutorial is based on R. If you have not installed R or are new to it, you will find an introduction to and more information how to use R here. For this tutorials, we need to install certain packages from an R library so that the scripts shown below are executed without errors. Before turning to the code below, please install the packages by running the code below this paragraph. If you have already installed the packages mentioned below, then you can skip ahead and ignore this section. To install the necessary packages, simply run the following code - it may take some time (between 1 and 5 minutes to install all of the libraries so you do not need to worry if it takes some time).
# install
install.packages("car")
install.packages("flextable")
install.packages("tidyverse")
install.packages("ggpubr")
install.packages("Hmisc")
install.packages("knitr")
install.packages("MASS")
install.packages("rms")
install.packages("robustbase")
install.packages("sjPlot")
install.packages("stringr")
install.packages("tibble")
install.packages("dplyr")
install.packages("vcd")
install.packages("gridExtra")
install.packages("performance")
install.packages("ggfortify")Now that we have installed the packages, we activate them as shown below.
# set options
options(stringsAsFactors = F)          # no automatic data transformation
options("scipen" = 100, "digits" = 12) # suppress math annotation
# load packages
library(car)
library(flextable)
library(tidyverse)
library(ggpubr)
library(Hmisc)
library(knitr)
library(MASS)
library(rms)
library(robustbase)
library(sjPlot)
library(stringr)
library(tibble)
library(vcd)
library(gridExtra)
library(performance)
library(ggfortify)Once you have installed R and RStudio and initiated the session by executing the code shown above, you are good to go.
Simple Linear Regression
This section focuses on a very widely used statistical method which is called regression. Regressions are used when we try to understand how independent variables correlate with a dependent or outcome variable. So, if you want to investigate how a certain factor affects an outcome, then a regression is the way to go. We will have a look at two simple examples to understand what the concepts underlying a regression mean and how a regression works. The R code, that we will use, is adapted from many highly recommendable introductions which also focus on regression (among other types of analyses), for example, Gries (2021), Levshina (2015), Winter (2019), Wilcox (2009), and Baayen (2008) (this latter one is probably not the first book one should read about statistics but it is highly recommendable for advanced learners).
Although the basic logic underlying regressions is identical to the conceptual underpinnings of analysis of variance (ANOVA), a related method, sociolinguists have traditionally favored regression analysis in their studies while ANOVAs have been the method of choice in psycholinguistics. The preference for either method is grounded in historical happenstances and the culture of these subdisciplines rather than in methodological reasoning. However, ANOVA are more restricted in that they can only take numeric dependent variables and they have stricter model assumptions that are violated more readily. In addition, a minor difference between regressions and ANOVA lies in the fact that regressions are based on the \(t\)-distribution while ANOVAs use the F-distribution (however, the F-value is simply the value of t squared or t2). Both t- and F-values report on the ratio between explained and unexplained variance.
The idea behind regression analysis is expressed formally in the equation below where\(f_{(x)}\) is the y-value we want to predict, \(\alpha\) is the intercept (the point where the regression line crosses the y-axis at x = 0), \(\beta\) is the coefficient (the slope of the regression line).
\[\begin{equation} f_{(x)} = \alpha + \beta_{i}x + \epsilon \end{equation}\]
In other words, to estimate how much some weights who is 180cm tall, we would multiply the coefficient (slope of the line) with 180 (x) and add the value of the intercept (point where line crosses the y-axis at x = 0).
However, the idea behind regressions can best be described graphically: imagine a cloud of points (like the points in the scatterplot in the upper left panel below). Regressions aim to find that line which has the minimal summed distance between points and the line (like the line in the lower panels). Technically speaking, the aim of a regression is to find the line with the minimal deviance (or the line with the minimal sum of residuals). Residuals are the distance between the line and the points (the red lines) and it is also called variance.
Thus, regression lines are those lines where the sum of the red lines should be minimal. The slope of the regression line is called coefficient and the point where the regression line crosses the y-axis at x = 0 is called the intercept.

A word about standard errors (SE) is in order here because most commonly used statistics programs will provide SE values when reporting regression models. The SE is a measure that tells us how much the coefficients were to vary if the same regression were applied to many samples from the same population. A relatively small SE value therefore indicates that the coefficients will remain very stable if the same regression model is fitted to many different samples with identical parameters. In contrast, a large SE tells you that the model is volatile and not very stable or reliable as the coefficients vary substantially if the model is applied to many samples.
Mathematically, the SE is the standard deviation (SD) divided by the square root of the sample size (N) (see below).The SD is the square root of the deviance (that is, the SD is the square root of the sum of the mean \(\bar{x}\) minus each data point (xi) squared divided by the sample size (N) minus 1).
\[\begin{equation} Standard Error (SE) = \frac{\sum (\bar{x}-x_{i})^2/N-1}{\sqrt{N}} = \frac{SD}{\sqrt{N}} \end{equation}\]
Example 1: Preposition Use across Real-Time
We will now turn to our first example. In this example, we will investigate whether the frequency of prepositions has changed from Middle English to Late Modern English. The reasoning behind this example is that Old English was highly synthetic compared with Present-Day English which comparatively analytic. In other words, while Old English speakers used case to indicate syntactic relations, speakers of Present-Day English use word order and prepositions to indicate syntactic relationships. This means that the loss of case had to be compensated by different strategies and maybe these strategies continued to develop and increase in frequency even after the change from synthetic to analytic had been mostly accomplished. And this prolonged change in compensatory strategies is what this example will focus on.
The analysis is based on data extracted from the Penn Corpora of Historical English (see http://www.ling.upenn.edu/hist-corpora/), that consists of 603 texts written between 1125 and 1900. In preparation of this example, all elements that were part-of-speech tagged as prepositions were extracted from the PennCorpora.
Then, the relative frequencies (per 1,000 words) of prepositions per text were calculated. This frequency of prepositions per 1,000 words represents our dependent variable. In a next step, the date when each letter had been written was extracted. The resulting two vectors were combined into a table which thus contained for each text, when it was written (independent variable) and its relative frequency of prepositions (dependent or outcome variable).
A regression analysis will follow the steps described below:
- Extraction and processing of the data 
- Data visualization 
- Applying the regression analysis to the data 
- Diagnosing the regression model and checking whether or not basic model assumptions have been violated. 
In a first step, we load functions that we may need (which in this case is a function that we will use to summarize the results of the analysis).
# load functions
source("rscripts/slrsummary.r")After preparing our session, we can now load and inspect the data to get a first impression of its properties.
# load data
slrdata  <- base::readRDS("tutorials/regression/data/sld.rda", "rb")| Date | Genre | Text | Prepositions | Region | 
|---|---|---|---|---|
| 1,736 | Science | albin | 166.01 | North | 
| 1,711 | Education | anon | 139.86 | North | 
| 1,808 | PrivateLetter | austen | 130.78 | North | 
| 1,878 | Education | bain | 151.29 | North | 
| 1,743 | Education | barclay | 145.72 | North | 
| 1,908 | Education | benson | 120.77 | North | 
| 1,906 | Diary | benson | 119.17 | North | 
| 1,897 | Philosophy | boethja | 132.96 | North | 
| 1,785 | Philosophy | boethri | 130.49 | North | 
| 1,776 | Diary | boswell | 135.94 | North | 
| 1,905 | Travel | bradley | 154.20 | North | 
| 1,711 | Education | brightland | 149.14 | North | 
| 1,762 | Sermon | burton | 159.71 | North | 
| 1,726 | Sermon | butler | 157.49 | North | 
| 1,835 | PrivateLetter | carlyle | 124.16 | North | 
Inspecting the data is very important because it can happen that a data set may not load completely or that variables which should be numeric have been converted to character variables. If unchecked, then such issues could go unnoticed and cause trouble.
We will now plot the data to get a better understanding of what the data looks like.
p1 <- ggplot(slrdata, aes(Date, Prepositions)) +
  geom_point() +
  theme_bw() +
  labs(x = "Year") +
  labs(y = "Prepositions per 1,000 words") +
  geom_smooth()
p2 <- ggplot(slrdata, aes(Date, Prepositions)) +
  geom_point() +
  theme_bw() +
  labs(x = "Year") +
  labs(y = "Prepositions per 1,000 words") +
  geom_smooth(method = "lm") # with linear model smoothing!
# display plots
ggpubr::ggarrange(p1, p2, ncol = 2, nrow = 1)
Before beginning with the regression analysis, we will center the year. We center the values of year by subtracting each value from the mean of year. This can be useful when dealing with numeric variables because if we did not center year, we would get estimated values for year 0 (a year when English did not even exist yet). If a variable is centered, the regression provides estimates of the model refer to the mean of that numeric variable. In other words, centering can be very helpful, especially with respect to the interpretation of the results that regression models report.
# center date
slrdata$Date <- slrdata$Date - mean(slrdata$Date) We will now begin the regression analysis by generating a first regression model and inspect its results.
# create initial model
m1.lm <- lm(Prepositions ~ Date, data = slrdata)
# inspect results
summary(m1.lm)
Call:
lm(formula = Prepositions ~ Date, data = slrdata)
Residuals:
        Min          1Q      Median          3Q         Max 
-69.1012471 -13.8549421   0.5779091  13.3208913  62.8580401 
Coefficients:
                   Estimate      Std. Error   t value             Pr(>|t|)    
(Intercept) 132.19009310987   0.83863748040 157.62483 < 0.0000000000000002 ***
Date          0.01732180307   0.00726746646   2.38347             0.017498 *  
---
Signif. codes:  0 '***' 0.001 '**' 0.01 '*' 0.05 '.' 0.1 ' ' 1
Residual standard error: 19.4339648 on 535 degrees of freedom
Multiple R-squared:  0.010507008,   Adjusted R-squared:  0.00865748837 
F-statistic: 5.68093894 on 1 and 535 DF,  p-value: 0.017498081The summary output starts by repeating the regression equation. Then, the model provides the distribution of the residuals. The residuals should be distributed normally with the absolute values of the Min and Max as well as the 1Q (first quartile) and 3Q (third quartile) being similar or ideally identical. In our case, the values are very similar which suggests that the residuals are distributed evenly and follow a normal distribution. The next part of the report is the coefficients table. The estimate for the intercept is the value of y at x = 0. The estimate for Date represents the slope of the regression line and tells us that with each year, the predicted frequency of prepositions increase by .01732 prepositions. The t-value is the Estimate divided by the standard error (Std. Error). Based on the t-value, the p-value can be calculated manually as shown below.
# use pt function (which uses t-values and the degrees of freedom)
2*pt(-2.383, nrow(slrdata)-1)[1] 0.0175196401501The R2-values tell us how much variance is explained by our model. The baseline value represents a model that uses merely the mean. 0.0105 means that our model explains only 1.05 percent of the variance (0.010 x 100) - which is a tiny amount. The problem of the multiple R2 is that it will increase even if we add variables that explain almost no variance. Hence, multiple R2 encourages the inclusion of junk variables.
\[\begin{equation} R^2 = R^2_{multiple} = 1 - \frac{\sum (y_i - \hat{y_i})^2}{\sum (y_i - \bar y)^2} \end{equation}\]
The adjusted R2-value takes the number of predictors into account and, thus, the adjusted R2 will always be lower than the multiple R2. This is so because the adjusted R2 penalizes models for having predictors. The equation for the adjusted R2 below shows that the amount of variance that is explained by all the variables in the model (the top part of the fraction) must outweigh the inclusion of the number of variables (k) (lower part of the fraction). Thus, the adjusted R2 will decrease when variables are added that explain little or even no variance while it will increase if variables are added that explain a lot of variance.
\[\begin{equation} R^2_{adjusted} = 1 - (\frac{(1 - R^2)(n - 1)}{n - k - 1}) \end{equation}\]
If there is a big difference between the two R2-values, then the model contains (many) predictors that do not explain much variance which is not good. The F-statistic and the associated p-value tell us that the model, despite explaining almost no variance, is still significantly better than an intercept-only base-line model (or using the overall mean to predict the frequency of prepositions per text).
We can test this and also see where the F-values comes from by comparing the
# create intercept-only base-line model
m0.lm <- lm(Prepositions ~ 1, data = slrdata)
# compare the base-line and the more saturated model
anova(m1.lm, m0.lm, test = "F")Analysis of Variance Table
Model 1: Prepositions ~ Date
Model 2: Prepositions ~ 1
  Res.Df         RSS Df   Sum of Sq       F   Pr(>F)  
1    535 202058.2576                                  
2    536 204203.8289 -1 -2145.57126 5.68094 0.017498 *
---
Signif. codes:  0 '***' 0.001 '**' 0.01 '*' 0.05 '.' 0.1 ' ' 1The F- and p-values are exactly those reported by the summary which shows where the F-values comes from and what it means; namely it denote the difference between the base-line and the more saturated model.
The degrees of freedom associated with the residual standard error are the number of cases in the model minus the number of predictors (including the intercept). The residual standard error is square root of the sum of the squared residuals of the model divided by the degrees of freedom. Have a look at he following to clear this up:
# DF = N - number of predictors (including intercept)
DegreesOfFreedom <- nrow(slrdata)-length(coef(m1.lm))
# sum of the squared residuals
SumSquaredResiduals <- sum(resid(m1.lm)^2)
# Residual Standard Error
sqrt(SumSquaredResiduals/DegreesOfFreedom); DegreesOfFreedom[1] 19.4339647585[1] 535We will now check if mathematical assumptions have been violated (homogeneity of variance) or whether the data contains outliers. We check this using diagnostic plots.
# generate data
df2 <- data.frame(id = 1:length(resid(m1.lm)),
                 residuals = resid(m1.lm),
                 standard = rstandard(m1.lm),
                 studend = rstudent(m1.lm))
# generate plots
p1 <- ggplot(df2, aes(x = id, y = residuals)) + 
  theme(panel.grid.major = element_blank(), panel.grid.minor = element_blank()) +
  geom_point() +
  labs(y = "Residuals", x = "Index")
p2 <- ggplot(df2, aes(x = id, y = standard)) + 
  theme(panel.grid.major = element_blank(), panel.grid.minor = element_blank()) +
  geom_point() +
  labs(y = "Standardized Residuals", x = "Index")
p3 <- ggplot(df2, aes(x = id, y = studend)) + 
  theme(panel.grid.major = element_blank(), panel.grid.minor = element_blank()) +
  geom_point() +
  labs(y = "Studentized Residuals", x = "Index")
# display plots
ggpubr::ggarrange(p1, p2, p3, ncol = 3, nrow = 1)
The left graph shows the residuals of the model (i.e., the differences between the observed and the values predicted by the regression model). The problem with this plot is that the residuals are not standardized and so they cannot be compared to the residuals of other models. To remedy this deficiency, residuals are normalized by dividing the residuals by their standard deviation. Then, the normalized residuals can be plotted against the observed values (center panel). In this way, not only are standardized residuals obtained, but the values of the residuals are transformed into z-values, and one can use the z-distribution to find problematic data points. There are three rules of thumb regarding finding problematic data points through standardized residuals (Field, Miles, and Field 2012, 50:268–69):
- Points with values higher than 3.29 should be removed from the data. 
- If more than 1% of the data points have values higher than 2.58, then the error rate of our model is too high. 
- If more than 5% of the data points have values greater than 1.96, then the error rate of our model is too high. 
The right panel shows the * studentized residuals* (adjusted predicted values: each data point is divided by the standard error of the residuals). In this way, it is possible to use Student’s t-distribution to diagnose our model.
Adjusted predicted values are residuals of a special kind: the model is calculated without a data point and then used to predict this data point. The difference between the observed data point and its predicted value is then called the adjusted predicted value. In summary, studentized residuals are very useful because they allow us to identify influential data points.
The plots show that there are two potentially problematic data points (the top-most and bottom-most point). These two points are clearly different from the other data points and may therefore be outliers. We will test later if these points need to be removed.
We will now generate more diagnostic plots.
# generate plots
autoplot(m1.lm) + 
  theme(panel.grid.major = element_blank(), panel.grid.minor = element_blank()) 
The diagnostic plots are very positive and we will go through why this is so for each panel. The graph in the upper left panel is useful for finding outliers or for determining the correlation between residuals and predicted values: when a trend becomes visible in the line or points (e.g., a rising trend or a zigzag line), then this would indicate that the model would be problematic (in such cases, it can help to remove data points that are too influential (outliers)).
The graphic in the upper right panel indicates whether the residuals are normally distributed (which is desirable) or whether the residuals do not follow a normal distribution. If the points lie on the line, the residuals follow a normal distribution. For example, if the points are not on the line at the top and bottom, it shows that the model does not predict small and large values well and that it therefore does not have a good fit.
The graphic in the lower left panel provides information about homoscedasticity. Homoscedasticity means that the variance of the residuals remains constant and does not correlate with any independent variable. In unproblematic cases, the graphic shows a flat line. If there is a trend in the line, we are dealing with heteroscedasticity, that is, a correlation between independent variables and the residuals, which is very problematic for regressions.
The graph in the lower right panel shows problematic influential data points that disproportionately affect the regression (this would be problematic). If such influential data points are present, they should be either weighted (one could generate a robust rather than a simple linear regression) or they must be removed. The graph displays Cook’s distance, which shows how the regression changes when a model without this data point is calculated. The cook distance thus shows the influence a data point has on the regression as a whole. Data points that have a Cook’s distance value greater than 1 are problematic (Field, Miles, and Field 2012, 50:269).
The so-called leverage is also a measure that indicates how strongly a data point affects the accuracy of the regression. Leverage values range between 0 (no influence) and 1 (strong influence: suboptimal!). To test whether a specific data point has a high leverage value, we calculate a cut-off point that indicates whether the leverage is too strong or still acceptable. The following two formulas are used for this:
\[\begin{equation} Leverage = \frac{3(k + 1)}{n} | \frac{2(k + 1)}{n} \end{equation}\]
We will look more closely at leverage in the context of multiple linear regression and will therefore end the current analysis by summarizing the results of the regression analysis in a table.
# create summary table
slrsummary(m1.lm)  | Parameters | Estimate | Pearson's r | Std. Error | t value | Pr(>|t|) | P-value sig. | 
|---|---|---|---|---|---|---|
| (Intercept) | 132.19 | 0.84 | 157.62 | 0 | p < .001*** | |
| Date | 0.02 | 0.1 | 0.01 | 2.38 | 0.0175 | p < .05* | 
| Model statistics | Value | |||||
| Number of cases in model | 537 | |||||
| Residual standard error on 535 DF | 19.43 | |||||
| Multiple R-squared | 0.0105 | |||||
| Adjusted R-squared | 0.0087 | |||||
| F-statistic (1, 535) | 5.68 | |||||
| Model p-value | 0.0175 | 
An alternative but less informative summary table of the results of a regression analysis can be generated using the tab_model function from the sjPlot package (Lüdecke 2021) (as is shown below).
# generate summary table
sjPlot::tab_model(m1.lm) | Prepositions | |||
| Predictors | Estimates | CI | p | 
| (Intercept) | 132.19 | 130.54 – 133.84 | <0.001 | 
| Date | 0.02 | 0.00 – 0.03 | 0.017 | 
| Observations | 537 | ||
| R2 / R2 adjusted | 0.011 / 0.009 | ||
Typically, the results of regression analyses are presented in such tables as they include all important measures of model quality and significance, as well as the magnitude of the effects.
In addition, the results of simple linear regressions should be summarized in writing.
We can use the reports package (Makowski et al. 2021) to summarize the analysis.
report::report(m1.lm)We fitted a linear model (estimated using OLS) to predict Prepositions with
Date (formula: Prepositions ~ Date). The model explains a statistically
significant and very weak proportion of variance (R2 = 0.01, F(1, 535) = 5.68,
p = 0.017, adj. R2 = 8.66e-03). The model's intercept, corresponding to Date =
0, is at 132.19 (95% CI [130.54, 133.84], t(535) = 157.62, p < .001). Within
this model:
  - The effect of Date is statistically significant and positive (beta = 0.02,
95% CI [3.05e-03, 0.03], t(535) = 2.38, p = 0.017; Std. beta = 0.10, 95% CI
[0.02, 0.19])
Standardized parameters were obtained by fitting the model on a standardized
version of the dataset. 95% Confidence Intervals (CIs) and p-values were
computed using a Wald t-distribution approximation.We can use this output to write up a final report:
A simple linear regression has been fitted to the data. A visual assessment of the model diagnostic graphics did not indicate any problematic or disproportionately influential data points (outliers) and performed significantly better compared to an intercept-only base line model but only explained .87 percent of the variance (adjusted R2: .0087, F-statistic (1, 535): 5,68, p-value: 0.0175*). The final minimal adequate linear regression model is based on 537 data points and confirms a significant and positive correlation between the year in which the text was written and the relative frequency of prepositions (coefficient estimate: .02 (standardized : 0.10, 95% CI [0.02, 0.19]), SE: 0.01, t-value535: 2.38, p-value: .0175*). Standardized parameters were obtained by fitting the model on a standardized version of the dataset. 95% Confidence Intervals (CIs) and p-values were computed using the Wald approximation.
Example 2: Teaching Styles
In the previous example, we dealt with two numeric variables, while the following example deals with a categorical independent variable and a numeric dependent variable. The ability for regressions to handle very different types of variables makes regressions a widely used and robust method of analysis.
In this example, we are dealing with two groups of students that have been randomly assigned to be exposed to different teaching methods. Both groups undergo a language learning test after the lesson with a maximum score of 20 points.
The question that we will try to answer is whether the students in group A have performed significantly better than those in group B which would indicate that the teaching method to which group A was exposed works better than the teaching method to which group B was exposed.
Let’s move on to implementing the regression in R. In a first step, we load the data set and inspect its structure.
# load data
slrdata2  <- base::readRDS("tutorials/regression/data/sgd.rda", "rb")| Group | Score | 
|---|---|
| A | 15 | 
| A | 12 | 
| A | 11 | 
| A | 18 | 
| A | 15 | 
| A | 15 | 
| A | 9 | 
| A | 19 | 
| A | 14 | 
| A | 13 | 
| A | 11 | 
| A | 12 | 
| A | 18 | 
| A | 15 | 
| A | 16 | 
Now, we graphically display the data. In this case, a boxplot represents a good way to visualize the data.
# extract means
slrdata2 %>%
  dplyr::group_by(Group) %>%
  dplyr::mutate(Mean = round(mean(Score), 1), SD = round(sd(Score), 1)) %>%
  ggplot(aes(Group, Score)) + 
  geom_boxplot(fill=c("orange", "darkgray")) +
  geom_text(aes(label = paste("M = ", Mean, sep = ""), y = 1)) +
  geom_text(aes(label = paste("SD = ", SD, sep = ""), y = 0)) +
  theme_bw(base_size = 15) +
  labs(x = "Group") +                      
  labs(y = "Test score (Points)", cex = .75) +   
  coord_cartesian(ylim = c(0, 20)) +  
  guides(fill = FALSE)                
The data indicate that group A did significantly better than group B. We will test this impression by generating the regression model and creating the model and extracting the model summary.
# generate regression model
m2.lm <- lm(Score ~ Group, data = slrdata2) 
# inspect results
summary(m2.lm)                             
Call:
lm(formula = Score ~ Group, data = slrdata2)
Residuals:
        Min          1Q      Median          3Q         Max 
-6.76666667 -1.93333333  0.15000000  2.06666667  6.23333333 
Coefficients:
                Estimate   Std. Error  t value               Pr(>|t|)    
(Intercept) 14.933333333  0.534571121 27.93517 < 0.000000000000000222 ***
GroupB      -3.166666667  0.755997730 -4.18873            0.000096692 ***
---
Signif. codes:  0 '***' 0.001 '**' 0.01 '*' 0.05 '.' 0.1 ' ' 1
Residual standard error: 2.92796662 on 58 degrees of freedom
Multiple R-squared:  0.232249929,   Adjusted R-squared:  0.219012859 
F-statistic:  17.545418 on 1 and 58 DF,  p-value: 0.0000966923559The model summary reports that Group A performed significantly better compared with Group B. This is shown by the fact that the p-value (the value in the column with the header (Pr(>|t|)) is smaller than .001 as indicated by the three * after the p-values). Also, the negative Estimate for Group B indicates that Group B has lower scores than Group A. We will now generate the diagnostic graphics.3
par(mfrow = c(1, 3))        # plot window: 1 plot/row, 3 plots/column
plot(resid(m2.lm))     # generate diagnostic plot
plot(rstandard(m2.lm)) # generate diagnostic plot
plot(rstudent(m2.lm)); par(mfrow = c(1, 1))  # restore normal plot window
The graphics do not indicate outliers or other issues, so we can continue with more diagnostic graphics.
par(mfrow = c(2, 2)) # generate a plot window with 2x2 panels
plot(m2.lm); par(mfrow = c(1, 1)) # restore normal plot window
These graphics also show no problems. In this case, the data can be summarized in the next step.
# tabulate results
slrsummary(m2.lm)| Parameters | Estimate | Pearson's r | Std. Error | t value | Pr(>|t|) | P-value sig. | 
|---|---|---|---|---|---|---|
| (Intercept) | 14.93 | 0.53 | 27.94 | 0 | p < .001*** | |
| GroupB | -3.17 | 0.48 | 0.76 | -4.19 | 0.0001 | p < .001*** | 
| Model statistics | Value | |||||
| Number of cases in model | 60 | |||||
| Residual standard error on 58 DF | 2.93 | |||||
| Multiple R-squared | 0.2322 | |||||
| Adjusted R-squared | 0.219 | |||||
| F-statistic (1, 58) | 17.55 | |||||
| Model p-value | 0.0001 | 
We can use the reports package (Makowski et al. 2021) to summarize the analysis.
report::report(m2.lm)We fitted a linear model (estimated using OLS) to predict Score with Group
(formula: Score ~ Group). The model explains a statistically significant and
moderate proportion of variance (R2 = 0.23, F(1, 58) = 17.55, p < .001, adj. R2
= 0.22). The model's intercept, corresponding to Group = A, is at 14.93 (95% CI
[13.86, 16.00], t(58) = 27.94, p < .001). Within this model:
  - The effect of Group [B] is statistically significant and negative (beta =
-3.17, 95% CI [-4.68, -1.65], t(58) = -4.19, p < .001; Std. beta = -0.96, 95%
CI [-1.41, -0.50])
Standardized parameters were obtained by fitting the model on a standardized
version of the dataset. 95% Confidence Intervals (CIs) and p-values were
computed using a Wald t-distribution approximation.We can use this output to write up a final report:
A simple linear regression was fitted to the data. A visual assessment of the model diagnostics did not indicate any problematic or disproportionately influential data points (outliers). The final linear regression model is based on 60 data points, performed significantly better than an intercept-only base line model (F (1, 58): 17.55, p-value <. 001\(***\)), and reported that the model explained 21.9 percent of variance which confirmed a good model fit. According to this final model, group A scored significantly better on the language learning test than group B (coefficient: -3.17, 95% CI [-4.68, -1.65], Std. : -0.96, 95% CI [-1.41, -0.50], SE: 0.48, t-value58: -4.19, p-value <. 001\(***\)). Standardized parameters were obtained by fitting the model on a standardized version of the dataset. 95% Confidence Intervals (CIs) and p-values were computed using the Wald approximation.
Multiple Linear Regression
In contrast to simple linear regression, which estimates the effect of a single predictor, multiple linear regression estimates the effect of various predictor (see the equation below). A multiple linear regression can thus test the effects of various predictors simultaneously.
\[\begin{equation} f_{(x)} = \alpha + \beta_{1}x_{i} + \beta_{2}x_{i+1} + \dots + \beta_{n}x_{i+n} + \epsilon \end{equation}\]
There exists a wealth of literature focusing on multiple linear regressions and the concepts it is based on. For instance, there are Achen (1982), Bortz (2006), Crawley (2005), Faraway (2002), Field, Miles, and Field (2012), Gries (2021), Levshina (2015), Winter (2019) and Wilcox (2009) to name just a few. Introductions to regression modeling in R are Baayen (2008), Crawley (2012), Gries (2021), or Levshina (2015).
The model diagnostics we are dealing with here are partly identical to the diagnostic methods discussed in the section on simple linear regression. Because of this overlap, diagnostics will only be described in more detail if they have not been described in the section on simple linear regression.
EXCURSION: A NOTE ON SAMPLE SIZE
Read more
A brief note on minimum necessary sample or data set size appears necessary here. Although there appears to be a general assumption that 25 data points per group are sufficient, this is not necessarily correct (it is merely a general rule of thumb that is actually often incorrect). Such rules of thumb are inadequate because the required sample size depends on the number of variables in a given model, the size of the effect and the variance of the effect - in other words, the minimum necessary sample size relates to statistical power (see here for a tutorial on power). If a model contains many variables, then this requires a larger sample size than a model which only uses very few predictors.
Also, to detect an effect with a very minor effect size, one needs a substantially larger sample compared to cases where the effect is very strong. In fact, when dealing with small effects, model require a minimum of 600 cases to reliably detect these effects. Finally, effects that are very robust and do not vary much require a much smaller sample size compared with effects that are spurious and vary substantially. Since the sample size depends on the effect size and variance as well as the number of variables, there is no final one-size-fits-all answer to what the best sample size is.
Another, slightly better but still incorrect, rule of thumb is that the more data, the better. This is not correct because models based on too many cases are prone for overfitting and thus report correlations as being significant that are not. However, given that there are procedures that can correct for overfitting, larger data sets are still preferable to data sets that are simply too small to warrant reliable results. In conclusion, it remains true that the sample size depends on the effect under investigation.Despite there being no ultimate rule of thumb, Field, Miles, and Field (2012, 50:273–75), based on Green (1991), provide data-driven suggestions for the minimal size of data required for regression models that aim to find medium sized effects (k = number of predictors; categorical variables with more than two levels should be transformed into dummy variables):
- If one is merely interested in the overall model fit (something I have not encountered), then the sample size should be at least 50 + k (k = number of predictors in model). 
- If one is only interested in the effect of specific variables, then the sample size should be at least 104 + k (k = number of predictors in model). 
- If one is only interested in both model fit and the effect of specific variables, then the sample size should be at least the higher value of 50 + k or 104 + k (k = number of predictors in model). 
You will see in the R code below that there is already a function that tests whether the sample size is sufficient.
Example: Gifts and Availability
The example we will go through here is taken from Field, Miles, and Field (2012). In this example, the research question is if the money that men spend on presents for women depends on the women’s attractiveness and their relationship status. To answer this research question, we will implement a multiple linear regression and start by loading the data and inspect its structure and properties.
# load data
mlrdata  <- base::readRDS("tutorials/regression/data/mld.rda", "rb")| status | attraction | money | 
|---|---|---|
| Relationship | NotInterested | 86.33 | 
| Relationship | NotInterested | 45.58 | 
| Relationship | NotInterested | 68.43 | 
| Relationship | NotInterested | 52.93 | 
| Relationship | NotInterested | 61.86 | 
| Relationship | NotInterested | 48.47 | 
| Relationship | NotInterested | 32.79 | 
| Relationship | NotInterested | 35.91 | 
| Relationship | NotInterested | 30.98 | 
| Relationship | NotInterested | 44.82 | 
| Relationship | NotInterested | 35.05 | 
| Relationship | NotInterested | 64.49 | 
| Relationship | NotInterested | 54.50 | 
| Relationship | NotInterested | 61.48 | 
| Relationship | NotInterested | 55.51 | 
The data set consist of three variables stored in three columns. The first column contains the relationship status of the present giver (in this study this were men), the second whether the man is interested in the woman (the present receiver in this study), and the third column represents the money spend on the present. The data set represents 100 cases and the mean amount of money spend on a present is 88.38 dollars. In a next step, we visualize the data to get a more detailed impression of the relationships between variables.
# create plots
p1 <- ggplot(mlrdata, aes(status, money)) +
  geom_boxplot() + 
  theme_bw()
# plot 2
p2 <- ggplot(mlrdata, aes(attraction, money)) +
  geom_boxplot() +
  theme_bw()
# plot 3
p3 <- ggplot(mlrdata, aes(x = money)) +
  geom_histogram(aes(y=..density..)) +            
  theme_bw() +         
  geom_density(alpha=.2, fill = "gray50") 
# plot 4
p4 <- ggplot(mlrdata, aes(status, money)) +
  geom_boxplot(aes(fill = factor(status))) + 
  scale_fill_manual(values = c("grey30", "grey70")) + 
  facet_wrap(~ attraction) + 
  guides(fill = "none") +
  theme_bw()
# show plots
gridExtra::grid.arrange(grobs = list(p1, p2, p3, p4), widths = c(1, 1), layout_matrix = rbind(c(1, 2), c(3, 4)))
The upper left figure consists of a boxplot which shows how much money was spent by relationship status. The figure suggests that men spend more on women if they are not in a relationship. The next figure shows the relationship between the money spend on presents and whether or not the men were interested in the women.
The boxplot in the upper right panel suggests that men spend substantially more on women if the men are interested in them. The next figure depicts the distribution of the amounts of money spend on the presents for the women. In addition, the figure indicates the existence of two outliers (dots in the boxplot)
The histogram in the lower left panel shows that, although the mean amount of money spent on presents is 88.38 dollars, the distribution peaks around 50 dollars indicating that on average, men spend about 50 dollars on presents. Finally, we will plot the amount of money spend on presents against relationship status by attraction in order to check whether the money spent on presents is affected by an interaction between attraction and relationship status.
The boxplot in the lower right panel confirms the existence of an interaction (a non-additive term) as men only spend more money on women if the men single and they are interested in the women. If men are not interested in the women, then the relationship has no effect as they spend an equal amount of money on the women regardless of whether they are in a relationship or not.
We will now start to implement the regression model. In a first step, we create two saturated models that contain all possible predictors (main effects and interactions). The two models are identical but one is generated with the lm and the other with the glm function as these functions offer different model parameters in their output.
m1.mlr = lm(                      # generate lm regression object
  money ~ 1 + attraction*status,  # def. regression formula (1 = intercept)
  data = mlrdata)                 # def. data
m1.glm = glm(                     # generate glm regression object
  money ~ 1 + attraction*status,  # def. regression formula (1 = intercept)
  family = gaussian,              # def. linkage function
  data = mlrdata)                 # def. dataAfter generating the saturated models we can now start with the model fitting. Model fitting refers to a process that aims at find the model that explains a maximum of variance with a minimum of predictors (see Field, Miles, and Field 2012, 50:318). Model fitting is therefore based on the principle of parsimony which is related to Occam’s razor according to which explanations that require fewer assumptions are more likely to be true.
Automatic Model Fitting and Why You Should Not Use It
In this section, we will use a step-wise step-down procedure that uses decreases in AIC (Akaike Information Criterion) as the criterion to minimize the model in a step-wise manner. This procedure aims at finding the model with the lowest AIC values by evaluating - step-by-step - whether the removal of a predictor (term) leads to a lower AIC value.
We use this method here just so that you know it exists and how to implement it but you should rather avoid using automated model fitting. The reason for avoiding automated model fitting is that the algorithm only checks if the AIC has decreased but not if the model is stable or reliable. Thus, automated model fitting has the problem that you can never be sure that the way that lead you to the final model is reliable and that all models were indeed stable. Imagine you want to climb down from a roof top and you have a ladder. The problem is that you do not know if and how many steps are broken. This is similar to using automated model fitting. In other sections, we will explore better methods to fit models (manual step-wise step-up and step-down procedures, for example).
The AIC is calculated using the equation below. The lower the AIC value, the better the balance between explained variance and the number of predictors. AIC values can and should only be compared for models that are fit on the same data set with the same (number of) cases (LL stands for logged likelihood or LogLikelihood and k represents the number of predictors in the model (including the intercept); the LL represents a measure of how good the model fits the data).
\[\begin{equation} Akaike Information Criterion (AIC) = -2LL + 2k \end{equation}\]
An alternative to the AIC is the BIC (Bayesian Information Criterion). Both AIC and BIC penalize models for including variables in a model. The penalty of the BIC is bigger than the penalty of the AIC and it includes the number of cases in the model (LL stands for logged likelihood or LogLikelihood, k represents the number of predictors in the model (including the intercept), and N represents the number of cases in the model).
\[\begin{equation} Bayesian Information Criterion (BIC) = -2LL + 2k * log(N) \end{equation}\]
Interactions are evaluated first and only if all insignificant interactions have been removed would the procedure start removing insignificant main effects (that are not part of significant interactions). Other model fitting procedures (forced entry, step-wise step up, hierarchical) are discussed during the implementation of other regression models. We cannot discuss all procedures here as model fitting is rather complex and a discussion of even the most common procedures would to lengthy and time consuming at this point. It is important to note though that there is not perfect model fitting procedure and automated approaches should be handled with care as they are likely to ignore violations of model parameters that can be detected during manual - but time consuming - model fitting procedures. As a general rule of thumb, it is advisable to fit models as carefully and deliberately as possible. We will now begin to fit the model.
# automated AIC based model fitting
step(m1.mlr, direction = "both")Start:  AIC=592.52
money ~ 1 + attraction * status
                    Df   Sum of Sq         RSS         AIC
<none>                             34557.56428 592.5211556
- attraction:status  1 24947.25481 59504.81909 644.8642395
Call:
lm(formula = money ~ 1 + attraction * status, data = mlrdata)
Coefficients:
                         (Intercept)               attractionNotInterested  
                             99.1548                              -47.6628  
                        statusSingle  attractionNotInterested:statusSingle  
                             57.6928                              -63.1788  The automated model fitting procedure informs us that removing predictors has not caused a decrease in the AIC. The saturated model is thus also the final minimal adequate model. We will now inspect the final minimal model and go over the model report.
m2.mlr = lm(                       # generate lm regression object
  money ~ (status + attraction)^2, # def. regression formula
  data = mlrdata)                  # def. data
m2.glm = glm(                      # generate glm regression object
  money ~ (status + attraction)^2, # def. regression formula
  family = gaussian,               # def. linkage function
  data = mlrdata)                  # def. data
# inspect final minimal model
summary(m2.mlr)
Call:
lm(formula = money ~ (status + attraction)^2, data = mlrdata)
Residuals:
     Min       1Q   Median       3Q      Max 
-45.0760 -14.2580   0.4596  11.9315  44.1424 
Coefficients:
                                         Estimate   Std. Error  t value
(Intercept)                           99.15480000   3.79459947 26.13050
statusSingle                          57.69280000   5.36637403 10.75080
attractionNotInterested              -47.66280000   5.36637403 -8.88175
statusSingle:attractionNotInterested -63.17880000   7.58919893 -8.32483
                                                   Pr(>|t|)    
(Intercept)                          < 0.000000000000000222 ***
statusSingle                         < 0.000000000000000222 ***
attractionNotInterested                 0.00000000000003751 ***
statusSingle:attractionNotInterested    0.00000000000058085 ***
---
Signif. codes:  0 '***' 0.001 '**' 0.01 '*' 0.05 '.' 0.1 ' ' 1
Residual standard error: 18.9729973 on 96 degrees of freedom
Multiple R-squared:  0.852041334,   Adjusted R-squared:  0.847417626 
F-statistic: 184.276619 on 3 and 96 DF,  p-value: < 0.0000000000000002220446The first element of the report is called Call and it reports the regression formula of the model. Then, the report provides the residual distribution (the range, median and quartiles of the residuals) which allows drawing inferences about the distribution of differences between observed and expected values. If the residuals are distributed non-normally, then this is a strong indicator that the model is unstable and unreliable because mathematical assumptions on which the model is based are violated.
Next, the model summary reports the most important part: a table with model statistics of the fixed-effects structure of the model. The table contains the estimates (coefficients of the predictors), standard errors, t-values, and the p-values which show whether a predictor significantly correlates with the dependent variable that the model investigates.
All main effects (status and attraction) as well as the interaction between status and attraction is reported as being significantly correlated with the dependent variable (money). An interaction occurs if a correlation between the dependent variable and a predictor is affected by another predictor.
The top most term is called intercept and has a value of 99.15 which represents the base estimate to which all other estimates refer. To exemplify what this means, let us consider what the model would predict that a man would spend on a present if he interested in the woman but he is also in a relationship. The amount he would spend (based on the model would be 99.15 dollars (which is the intercept). This means that the intercept represents the predicted value if all predictors take the base or reference level. And since being in relationship but being interested are the case, and because the interaction does not apply, the predicted value in our example is exactly the intercept (see below).
#intercept  Single  NotInterested  Single:NotInterested
99.15     + 57.69  + 0           + 0     # 156.8 single + interested[1] 156.8499.15     + 57.69  - 47.66       - 63.18 # 46.00 single + not interested[1] 4699.15     - 0      + 0           - 0     # 99.15 relationship + interested[1] 99.1599.15     - 0      - 47.66       - 0     # 51.49 relationship + not interested[1] 51.49Now, let us consider what a man would spend if he is in a relationship and he is not attracted to the women. In that case, the model predicts that the man would spend only 51.49 dollars on a present: the intercept (99.15) minus 47.66 because the man is not interested (and no additional subtraction because the interaction does not apply).
We can derive the same results easier using the predict function.
# make prediction based on the model for original data
prediction <- predict(m2.mlr, newdata = mlrdata)
# inspect predictions
table(round(prediction,2))
 46.01  51.49  99.15 156.85 
    25     25     25     25 Below the table of coefficients, the regression summary reports model statistics that provide information about how well the model performs. The difference between the values and the values in the coefficients table is that the model statistics refer to the model as a whole rather than focusing on individual predictors.
The multiple R2-value is a measure of how much variance the model explains. A multiple R2-value of 0 would inform us that the model does not explain any variance while a value of .852 mean that the model explains 85.2 percent of the variance. A value of 1 would inform us that the model explains 100 percent of the variance and that the predictions of the model match the observed values perfectly. Multiplying the multiple R2-value thus provides the percentage of explained variance. Models that have a multiple R2-value equal or higher than .05 are deemed substantially significant (see Szmrecsanyi 2006, 55). It has been claimed that models should explain a minimum of 5 percent of variance but this is problematic as it is not uncommon for models to have very low explanatory power while still performing significantly and systematically better than chance. In addition, the total amount of variance is negligible in cases where one is interested in very weak but significant effects. It is much more important for model to perform significantly better than minimal base-line models because if this is not the case, then the model does not have any predictive and therefore no explanatory power.
The adjusted R2-value considers the amount of explained variance in light of the number of predictors in the model (it is thus somewhat similar to the AIC and BIC) and informs about how well the model would perform if it were applied to the population that the sample is drawn from. Ideally, the difference between multiple and adjusted R2-value should be very small as this means that the model is not overfitted. If, however, the difference between multiple and adjusted R2-value is substantial, then this would strongly suggest that the model is unstable and overfitted to the data while being inadequate for drawing inferences about the population. Differences between multiple and adjusted R2-values indicate that the data contains outliers that cause the distribution of the data on which the model is based to differ from the distributions that the model mathematically requires to provide reliable estimates. The difference between multiple and adjusted R2-value in our model is very small (85.2-84.7=.05) and should not cause concern.
Before continuing, we will calculate the confidence intervals of the coefficients.
# extract confidence intervals of the coefficients
confint(m2.mlr)                                              2.5 %         97.5 %
(Intercept)                           91.6225795890 106.6870204110
statusSingle                          47.0406317400  68.3449682600
attractionNotInterested              -58.3149682600 -37.0106317400
statusSingle:attractionNotInterested -78.2432408219 -48.1143591781# create and compare baseline- and minimal adequate model
m0.mlr <- lm(money ~1, data = mlrdata)
anova(m0.mlr, m2.mlr)Analysis of Variance Table
Model 1: money ~ 1
Model 2: money ~ (status + attraction)^2
  Res.Df          RSS Df   Sum of Sq         F                 Pr(>F)    
1     99 233562.28650                                                    
2     96  34557.56428  3 199004.7222 184.27662 < 0.000000000000000222 ***
---
Signif. codes:  0 '***' 0.001 '**' 0.01 '*' 0.05 '.' 0.1 ' ' 1Now, we compare the final minimal adequate model to the base-line model to test whether then final model significantly outperforms the baseline model.
# compare baseline- and minimal adequate model
Anova(m0.mlr, m2.mlr, type = "III")Anova Table (Type III tests)
Response: money
                 Sum Sq Df    F value                 Pr(>F)    
(Intercept) 781015.8300  1 2169.64133 < 0.000000000000000222 ***
Residuals    34557.5643 96                                      
---
Signif. codes:  0 '***' 0.001 '**' 0.01 '*' 0.05 '.' 0.1 ' ' 1The comparison between the two model confirms that the minimal adequate model performs significantly better (makes significantly more accurate estimates of the outcome variable) compared with the baseline model.
Model diagnostics
We now check the model performance using the model_performance() function and to diagnose the model, we are using the check_model() function from the performance package (Lüdecke et al. 2021).
We start by checking the performance of the null-model against the performance values of the final minimal adequate model. Ideally, the final minimal adequate model would show higher explanatory power (higher R2 values) and better parsimony (lower AIC and AICc as well as BIC values).
performance::model_performance(m0.mlr)# Indices of model performance
AIC      |     AICc |      BIC |    R2 | R2 (adj.) |   RMSE |  Sigma
--------------------------------------------------------------------
1063.391 | 1063.515 | 1068.601 | 0.000 |     0.000 | 48.328 | 48.572performance::model_performance(m2.mlr)# Indices of model performance
AIC     |    AICc |     BIC |    R2 | R2 (adj.) |   RMSE |  Sigma
-----------------------------------------------------------------
878.309 | 878.947 | 891.335 | 0.852 |     0.847 | 18.590 | 18.973The output confirms that the final minimal adequate model performs substantively better than the null model (higher explanatory power and better parsimony). We now diagnose the model using the check_model() function.
performance::check_model(m2.mlr)
Outlier Detection
In a next step, we now need to look for outliers check whether removing data points disproportionately decreases model fit. To begin with, we generate diagnostic plots.
# generate plots
autoplot(m2.mlr) + 
  theme(panel.grid.major = element_blank(), panel.grid.minor = element_blank()) +
  theme_bw()
The plots do not show severe problems such as funnel shaped patterns or drastic deviations from the diagonal line in Normal Q-Q plot (have a look at the explanation of what to look for and how to interpret these diagnostic plots in the section on simple linear regression) but data points 52, 64, and 83 are repeatedly indicated as potential outliers.
# determine a cutoff for data points that have D-values higher than 4/(n-k-1)
cutoff <- 4/((nrow(mlrdata)-length(m2.mlr$coefficients)-2))
# start plotting
par(mfrow = c(1, 2))           # display plots in 3 rows/2 columns
qqPlot(m2.mlr, main="QQ Plot") # create qq-plot[1] 52 83plot(m2.mlr, which=4, cook.levels = cutoff); par(mfrow = c(1, 1))
The graphs indicate that data points 52, 64, and 83 may be problematic. We will therefore statistically evaluate whether these data points need to be removed. In order to find out which data points require removal, we extract the influence measure statistics and add them to out data set.
# extract influence statistics
infl <- influence.measures(m2.mlr)
# add infl. statistics to data
mlrdata <- data.frame(mlrdata, infl[[1]], infl[[2]])
# annotate too influential data points
remove <- apply(infl$is.inf, 1, function(x) {
  ifelse(x == TRUE, return("remove"), return("keep")) } )
# add annotation to data
mlrdata <- data.frame(mlrdata, remove)
# number of rows before removing outliers
nrow(mlrdata)[1] 100# remove outliers
mlrdata <- mlrdata[mlrdata$remove == "keep", ]
# number of rows after removing outliers
nrow(mlrdata)[1] 98The difference in row in the data set before and after removing data points indicate that two data points which represented outliers have been removed.
NOTE 
 In general, outliers should not simply be removed unless there are good reasons for it (this could be that the outliers represent measurement errors). If a data set contains outliers, one should rather switch to methods that are better at handling outliers, e.g. by using weights to account for data points with high leverage. One alternative would be to switch to a robust regression (see here). However, here we show how to proceed by removing outliers as this is a common, though potentially problematic, method of dealing with outliers.
Rerun Regression
As we have decided to remove the outliers which means that we are now dealing with a different data set, we need to rerun the regression analysis. As the steps are identical to the regression analysis performed above, the steps will not be described in greater detail.
# recreate regression models on new data
m0.mlr = lm(money ~ 1, data = mlrdata)
m0.glm = glm(money ~ 1, family = gaussian, data = mlrdata)
m1.mlr = lm(money ~ (status + attraction)^2, data = mlrdata)
m1.glm = glm(money ~ status * attraction, family = gaussian,
             data = mlrdata)
# automated AIC based model fitting
step(m1.mlr, direction = "both")Start:  AIC=570.29
money ~ (status + attraction)^2
                    Df   Sum of Sq         RSS         AIC
<none>                             30411.31714 570.2850562
- status:attraction  1 21646.86199 52058.17914 620.9646729
Call:
lm(formula = money ~ (status + attraction)^2, data = mlrdata)
Coefficients:
                         (Intercept)                          statusSingle  
                          99.1548000                            55.8535333  
             attractionNotInterested  statusSingle:attractionNotInterested  
                         -47.6628000                           -59.4613667  # create new final models
m2.mlr = lm(money ~ (status + attraction)^2, data = mlrdata)
m2.glm = glm(money ~ status * attraction, family = gaussian,
             data = mlrdata)
# inspect final minimal model
summary(m2.mlr)
Call:
lm(formula = money ~ (status + attraction)^2, data = mlrdata)
Residuals:
         Min           1Q       Median           3Q          Max 
-35.76416667 -13.50520000  -0.98948333  10.59887500  38.77166667 
Coefficients:
                                         Estimate   Std. Error  t value
(Intercept)                           99.15480000   3.59735820 27.56323
statusSingle                          55.85353333   5.14015367 10.86612
attractionNotInterested              -47.66280000   5.08743275 -9.36873
statusSingle:attractionNotInterested -59.46136667   7.26927504 -8.17982
                                                   Pr(>|t|)    
(Intercept)                          < 0.000000000000000222 ***
statusSingle                         < 0.000000000000000222 ***
attractionNotInterested               0.0000000000000040429 ***
statusSingle:attractionNotInterested  0.0000000000013375166 ***
---
Signif. codes:  0 '***' 0.001 '**' 0.01 '*' 0.05 '.' 0.1 ' ' 1
Residual standard error: 17.986791 on 94 degrees of freedom
Multiple R-squared:  0.857375902,   Adjusted R-squared:  0.852824069 
F-statistic: 188.358387 on 3 and 94 DF,  p-value: < 0.0000000000000002220446# extract confidence intervals of the coefficients
confint(m2.mlr)                                              2.5 %         97.5 %
(Intercept)                           92.0121609656 106.2974390344
statusSingle                          45.6476377202  66.0594289465
attractionNotInterested              -57.7640169936 -37.5615830064
statusSingle:attractionNotInterested -73.8946826590 -45.0280506744# compare baseline with final model
anova(m0.mlr, m2.mlr)Analysis of Variance Table
Model 1: money ~ 1
Model 2: money ~ (status + attraction)^2
  Res.Df          RSS Df   Sum of Sq         F                 Pr(>F)    
1     97 213227.06081                                                    
2     94  30411.31714  3 182815.7437 188.35839 < 0.000000000000000222 ***
---
Signif. codes:  0 '***' 0.001 '**' 0.01 '*' 0.05 '.' 0.1 ' ' 1# compare baseline with final model
Anova(m0.mlr, m2.mlr, type = "III")Anova Table (Type III tests)
Response: money
                 Sum Sq Df    F value                 Pr(>F)    
(Intercept) 760953.2107  1 2352.07181 < 0.000000000000000222 ***
Residuals    30411.3171 94                                      
---
Signif. codes:  0 '***' 0.001 '**' 0.01 '*' 0.05 '.' 0.1 ' ' 1Additional Model Diagnostics
After rerunning the regression analysis on the updated data set, we again create diagnostic plots in order to check whether there are potentially problematic data points.
# generate plots
autoplot(m2.mlr) + 
  theme(panel.grid.major = element_blank(), panel.grid.minor = element_blank()) +
  theme_bw()
# determine a cutoff for data points that have
# D-values higher than 4/(n-k-1)
cutoff <- 4/((nrow(mlrdata)-length(m2.mlr$coefficients)-2))
# start plotting
par(mfrow = c(1, 2))           # display plots in 1 row/2 columns
qqPlot(m2.mlr, main="QQ Plot") # create qq-plot84 88 
82 86 plot(m2.mlr, which=4, cook.levels = cutoff); par(mfrow = c(1, 1))
Although the diagnostic plots indicate that additional points may be problematic, but these data points deviate substantially less from the trend than was the case with the data points that have already been removed. To make sure that retaining the data points that are deemed potentially problematic by the diagnostic plots, is acceptable, we extract diagnostic statistics and add them to the data.
# add model diagnostics to the data
mlrdata <- mlrdata %>%
  dplyr::mutate(residuals = resid(m2.mlr),
                standardized.residuals = rstandard(m2.mlr),
                studentized.residuals = rstudent(m2.mlr),
                cooks.distance = cooks.distance(m2.mlr),
                dffit = dffits(m2.mlr),
                leverage = hatvalues(m2.mlr),
                covariance.ratios = covratio(m2.mlr),
                fitted = m2.mlr$fitted.values)We can now use these diagnostic statistics to create more precise diagnostic plots.
# plot 5
p5 <- ggplot(mlrdata,
             aes(studentized.residuals)) +
  theme(legend.position = "none")+
  geom_histogram(aes(y=..density..),
                 binwidth = .2,
                 colour="black",
                 fill="gray90") +
  labs(x = "Studentized Residual", y = "Density") +
  stat_function(fun = dnorm,
                args = list(mean = mean(mlrdata$studentized.residuals, na.rm = TRUE),
                            sd = sd(mlrdata$studentized.residuals, na.rm = TRUE)),
                colour = "red", size = 1) +
  theme_bw(base_size = 8)
# plot 6
p6 <- ggplot(mlrdata, aes(fitted, studentized.residuals)) +
  geom_point() +
  geom_smooth(method = "lm", colour = "Red")+
  theme_bw(base_size = 8)+
  labs(x = "Fitted Values",
       y = "Studentized Residual")
# plot 7
p7 <- qplot(sample = mlrdata$studentized.residuals) +
  theme_bw(base_size = 8) +
  labs(x = "Theoretical Values",
       y = "Observed Values")
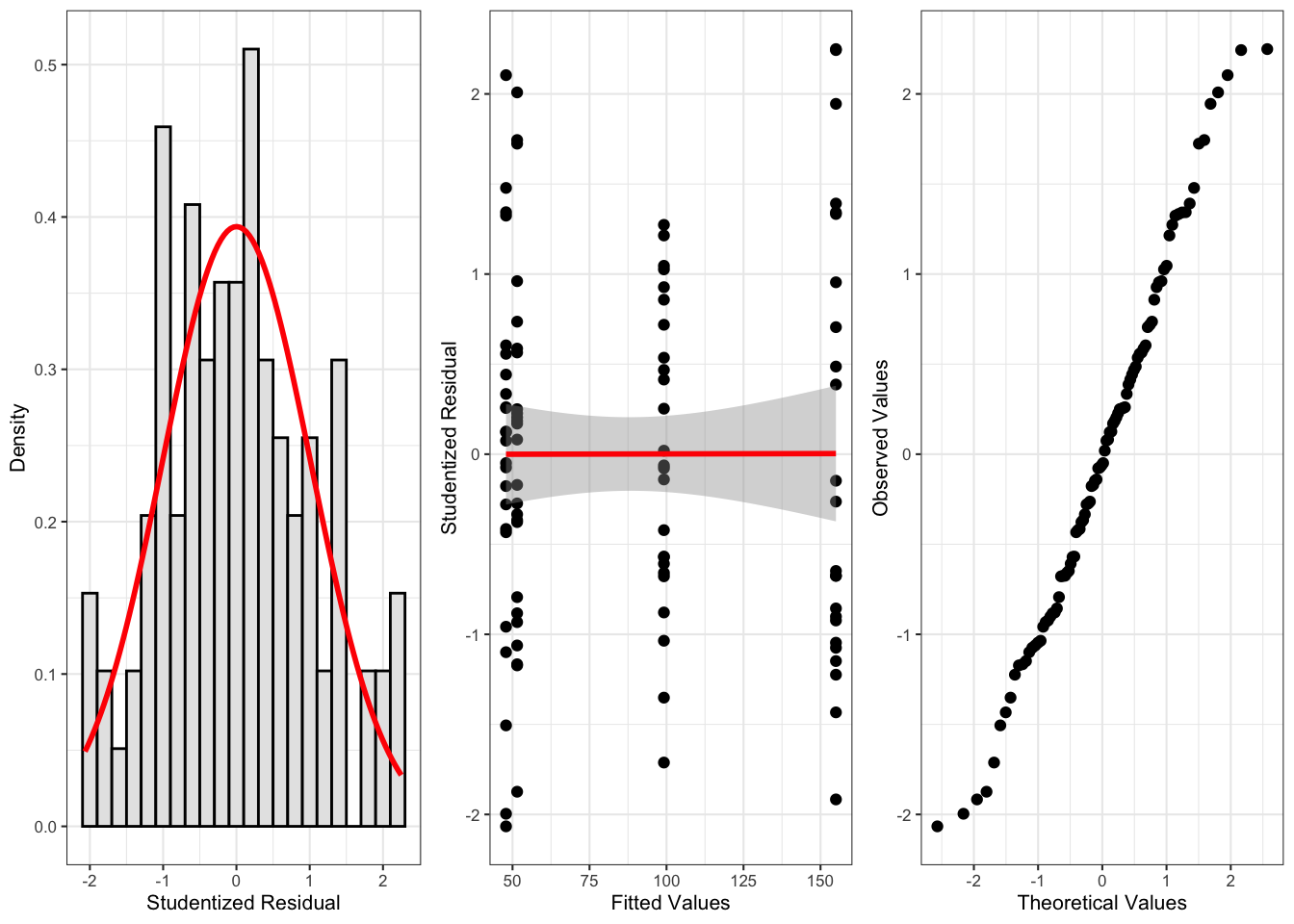
gridExtra::grid.arrange(p5, p6, p7, nrow = 1)
The new diagnostic plots do not indicate outliers that require removal. With respect to such data points the following parameters should be considered:
- Data points with standardized residuals > 3.29 should be removed (Field, Miles, and Field 2012, 50:269) 
- If more than 1 percent of data points have standardized residuals exceeding values > 2.58, then the error rate of the model is unacceptable (Field, Miles, and Field 2012, 50:269). 
- If more than 5 percent of data points have standardized residuals exceeding values > 1.96, then the error rate of the model is unacceptable (Field, Miles, and Field 2012, 50:269) 
- In addition, data points with Cook’s D-values > 1 should be removed (Field, Miles, and Field 2012, 50:269) 
- Also, data points with leverage values higher than \(3(k + 1)/N\) or \(2(k + 1)/N\) (k = Number of predictors, N = Number of cases in model) should be removed (Field, Miles, and Field 2012, 50:270) 
- There should not be (any) autocorrelation among predictors. This means that independent variables cannot be correlated with itself (for instance, because data points come from the same subject). If there is autocorrelation among predictors, then a Repeated Measures Design or a (hierarchical) mixed-effects model should be implemented instead. 
- Predictors cannot substantially correlate with each other (multicollinearity) (see the subsection on (multi-)collinearity in the section of multiple binomial logistic regression for more details about (multi-)collinearity). If a model contains predictors that have variance inflation factors (VIF) > 10 the model is unreliable (Myers 1990) and predictors causing such VIFs should be removed. Indeed, even VIFs of 2.5 can be problematic (Szmrecsanyi 2006, 215) Indeed, Zuur, Ieno, and Elphick (2010) propose that variables with VIFs exceeding 3 should be removed! 
NOTE 
 However, (multi-)collinearity is only an issue if one is interested in interpreting regression results! If the interpretation is irrelevant because what is relevant is prediction(!), then it does not matter if the model contains collinear predictors! See Gries (2021) for a more elaborate explanation.
- The mean value of VIFs should be ~ 1 (Bowerman and O’Connell 1990).
The following code chunk evaluates these criteria.
# 1: optimal = 0
# (listed data points should be removed)
which(mlrdata$standardized.residuals > 3.29)named integer(0)# 2: optimal = 1
# (listed data points should be removed)
stdres_258 <- as.vector(sapply(mlrdata$standardized.residuals, function(x) {
ifelse(sqrt((x^2)) > 2.58, 1, 0) } ))
(sum(stdres_258) / length(stdres_258)) * 100[1] 0# 3: optimal = 5
# (listed data points should be removed)
stdres_196 <- as.vector(sapply(mlrdata$standardized.residuals, function(x) {
ifelse(sqrt((x^2)) > 1.96, 1, 0) } ))
(sum(stdres_196) / length(stdres_196)) * 100[1] 6.12244897959# 4: optimal = 0
# (listed data points should be removed)
which(mlrdata$cooks.distance > 1)named integer(0)# 5: optimal = 0
# (data points should be removed if cooks distance is close to 1)
which(mlrdata$leverage >= (3*mean(mlrdata$leverage)))named integer(0)# 6: checking autocorrelation:
# Durbin-Watson test (optimal: high p-value)
dwt(m2.mlr) lag  Autocorrelation D-W Statistic p-value
   1 -0.0143324675649  1.9680423527   0.678
 Alternative hypothesis: rho != 0# 7: test multicollinearity 1
vif(m2.mlr)                        statusSingle              attractionNotInterested 
                                2.00                                 1.96 
statusSingle:attractionNotInterested 
                                2.96 # 8: test multicollinearity 2
1/vif(m2.mlr)                        statusSingle              attractionNotInterested 
                      0.500000000000                       0.510204081633 
statusSingle:attractionNotInterested 
                      0.337837837838 # 9: mean vif should not exceed 1
mean(vif(m2.mlr))[1] 2.30666666667Except for the mean VIF value (2.307) which should not exceed 1, all diagnostics are acceptable. We will now test whether the sample size is sufficient for our model. With respect to the minimal sample size and based on Green (1991), Field, Miles, and Field (2012, 50:273–74) offer the following rules of thumb for an adequate sample size (k = number of predictors; categorical predictors with more than two levels should be recoded as dummy variables):
- if you are interested in the overall model: 50 + 8k (k = number of predictors) 
- if you are interested in individual predictors: 104 + k 
- if you are interested in both: take the higher value! 
Evaluation of Sample Size
After performing the diagnostics, we will now test whether the sample size is adequate and what the values of R would be based on a random distribution in order to be able to estimate how likely a \(\beta\)-error is given the present sample size (see Field, Miles, and Field 2012, 50:274). Beta errors (or \(\beta\)-errors) refer to the erroneous assumption that a predictor is not significant (based on the analysis and given the sample) although it does have an effect in the population. In other words, \(\beta\)-error means to overlook a significant effect because of weaknesses of the analysis. The test statistics ranges between 0 and 1 where lower values are better. If the values approximate 1, then there is serious concern as the model is not reliable given the sample size. In such cases, unfortunately, the best option is to increase the sample size.
# load functions
source("rscripts/SampleSizeMLR.r")
source("rscripts/ExpR.r")
# check if sample size is sufficient
smplesz(m2.mlr)[1] "Sample too small: please increase your sample by  9  data points"# check beta-error likelihood
expR(m2.mlr)[1] "Based on the sample size expect a false positive correlation of 0.0309 between the predictors and the predicted"The function smplesz reports that the sample size is insufficient by 9 data points according to Green (1991). The likelihood of \(\beta\)-errors, however, is very small (0.0309). As a last step, we summarize the results of the regression analysis.
# tabulate model results
sjPlot::tab_model(m0.glm, m2.glm)| money | money | |||||
| Predictors | Estimates | CI | p | Estimates | CI | p | 
| (Intercept) | 88.12 | 78.72 – 97.52 | <0.001 | 99.15 | 92.10 – 106.21 | <0.001 | 
| status [Single] | 55.85 | 45.78 – 65.93 | <0.001 | |||
| attraction [NotInterested] | -47.66 | -57.63 – -37.69 | <0.001 | |||
| status [Single] × attraction [NotInterested] | -59.46 | -73.71 – -45.21 | <0.001 | |||
| Observations | 98 | 98 | ||||
| R2 | 0.000 | 0.857 | ||||
NOTE 
 The R2 values in this report is incorrect! As we have seen above, and is also shown in the table below, the correct R2 values are: multiple R2 0.8574, adjusted R2 0.8528.
Additionally, we can inspect the summary of the regression model as shown below to extract additional information.
summary(m2.mlr)
Call:
lm(formula = money ~ (status + attraction)^2, data = mlrdata)
Residuals:
         Min           1Q       Median           3Q          Max 
-35.76416667 -13.50520000  -0.98948333  10.59887500  38.77166667 
Coefficients:
                                         Estimate   Std. Error  t value
(Intercept)                           99.15480000   3.59735820 27.56323
statusSingle                          55.85353333   5.14015367 10.86612
attractionNotInterested              -47.66280000   5.08743275 -9.36873
statusSingle:attractionNotInterested -59.46136667   7.26927504 -8.17982
                                                   Pr(>|t|)    
(Intercept)                          < 0.000000000000000222 ***
statusSingle                         < 0.000000000000000222 ***
attractionNotInterested               0.0000000000000040429 ***
statusSingle:attractionNotInterested  0.0000000000013375166 ***
---
Signif. codes:  0 '***' 0.001 '**' 0.01 '*' 0.05 '.' 0.1 ' ' 1
Residual standard error: 17.986791 on 94 degrees of freedom
Multiple R-squared:  0.857375902,   Adjusted R-squared:  0.852824069 
F-statistic: 188.358387 on 3 and 94 DF,  p-value: < 0.0000000000000002220446Although Field, Miles, and Field (2012) suggest that the main effects of the predictors involved in the interaction should not be interpreted, they are interpreted here to illustrate how the results of a multiple linear regression can be reported.
We can use the reports package (Makowski et al. 2021) to summarize the analysis.
report::report(m2.mlr)We fitted a linear model (estimated using OLS) to predict money with status and
attraction (formula: money ~ (status + attraction)^2). The model explains a
statistically significant and substantial proportion of variance (R2 = 0.86,
F(3, 94) = 188.36, p < .001, adj. R2 = 0.85). The model's intercept,
corresponding to status = Relationship and attraction = Interested, is at 99.15
(95% CI [92.01, 106.30], t(94) = 27.56, p < .001). Within this model:
  - The effect of status [Single] is statistically significant and positive (beta
= 55.85, 95% CI [45.65, 66.06], t(94) = 10.87, p < .001; Std. beta = 1.19, 95%
CI [0.97, 1.41])
  - The effect of attraction [NotInterested] is statistically significant and
negative (beta = -47.66, 95% CI [-57.76, -37.56], t(94) = -9.37, p < .001; Std.
beta = -1.02, 95% CI [-1.23, -0.80])
  - The effect of status [Single] × attraction [NotInterested] is statistically
significant and negative (beta = -59.46, 95% CI [-73.89, -45.03], t(94) =
-8.18, p < .001; Std. beta = -1.27, 95% CI [-1.58, -0.96])
Standardized parameters were obtained by fitting the model on a standardized
version of the dataset. 95% Confidence Intervals (CIs) and p-values were
computed using a Wald t-distribution approximation.We can use this output to write up a final report:
A multiple linear regression was fitted to the data using an automated, step-wise, AIC-based (Akaike’s Information Criterion) procedure. The model fitting arrived at a final minimal model. During the model diagnostics, two outliers were detected and removed. Further diagnostics did not find other issues after the removal.
The final minimal adequate regression model is based on 98 data points and performs highly significantly better than a minimal baseline model (multiple R2: .857, adjusted R2: .853, F-statistic (3, 94): 154.4, AIC: 850.4, BIC: 863.32, p<.001\(***\)). The final minimal adequate regression model reports attraction and status as significant main effects. The relationship status of men correlates highly significantly and positively with the amount of money spend on the women’s presents (SE: 5.14, t-value: 10.87, p<.001\(***\)). This shows that men spend 156.8 dollars on presents if they are single while they spend 99,15 dollars if they are in a relationship. Whether men are attracted to women also correlates highly significantly and positively with the money they spend on women (SE: 5.09, t-values: -9.37, p<.001\(***\)). If men are not interested in women, they spend 47.66 dollar less on a present for women compared with women the men are interested in.
Furthermore, the final minimal adequate regression model reports a highly significant interaction between relationship status and attraction (SE: 7.27, t-value: -8.18, p<.001\(***\)): If men are single but they are not interested in a women, a man would spend only 59.46 dollars on a present compared to all other constellations.
Multiple Binomial Logistic Regression
Logistic regression is a multivariate analysis technique that builds on and is very similar in terms of its implementation to linear regression but logistic regressions take dependent variables that represent nominal rather than numeric scaling (Harrell Jr 2015). The difference requires that the linear regression must be modified in certain ways to avoid producing non-sensical outcomes. The most fundamental difference between logistic and linear regressions is that logistic regression work on the probabilities of an outcome (the likelihood), rather than the outcome itself. In addition, the likelihoods on which the logistic regression works must be logged (logarithmized) in order to avoid produce predictions that produce values greater than 1 (instance occurs) and 0 (instance does not occur). You can check this by logging the values from -10 to 10 using the plogis function as shown below.
round(plogis(-10:10), 5) [1] 0.00005 0.00012 0.00034 0.00091 0.00247 0.00669 0.01799 0.04743 0.11920
[10] 0.26894 0.50000 0.73106 0.88080 0.95257 0.98201 0.99331 0.99753 0.99909
[19] 0.99966 0.99988 0.99995If we visualize these logged values, we get an S-shaped curve which reflects the logistic function.

To understand what this mean, we will use a very simple example. In this example, we want to see whether the height of men affect their likelihood of being in a relationship. The data we use represents a data set consisting of two variables: height and relationship.

The left panel of the Figure above shows that a linear model would predict values for the relationship status, which represents a factor (0 = Single and 1 = In a Relationship), that are nonsensical because values above 1 or below 0 do not make sense. In contrast to a linear regression, which predicts actual values, such as the frequencies of prepositions in a certain text, a logistic regression predicts probabilities of events (for example, being in a relationship) rather than actual values. The center panel shows the predictions of a logistic regression and we see that a logistic regression also has an intercept and a (very steep) slope but that the regression line also predicts values that are above 1 and below 0. However, when we log the predicted values we these predicted values are transformed into probabilities with values between 0 and 1. And the logged regression line has a S-shape which reflects the logistic function. Furthermore, we can then find the optimal line (the line with the lowest residual deviance) by comparing the sum of residuals - just as we did for a simple linear model and that way, we find the regression line for a logistic regression.
Example 1: EH in Kiwi English
To exemplify how to implement a logistic regression in R (see Agresti 1996; Agresti and Kateri 2011) for very good and thorough introductions to this topic], we will analyze the use of the discourse particle eh in New Zealand English and test which factors correlate with its occurrence. The data set represents speech units in a corpus that were coded for the speaker who uttered a given speech unit, the gender, ethnicity, and age of that speaker and whether or not the speech unit contained an eh. To begin with, we clean the current work space, set option, install and activate relevant packages, load customized functions, and load the example data set.
# load data
blrdata  <- base::readRDS("tutorials/regression/data/bld.rda", "rb")| ID | Gender | Age | Ethnicity | EH | 
|---|---|---|---|---|
| <S1A-001#M> | Men | Young | Pakeha | 0 | 
| <S1A-001#M> | Men | Young | Pakeha | 1 | 
| <S1A-001#M> | Men | Young | Pakeha | 0 | 
| <S1A-001#M> | Men | Young | Pakeha | 0 | 
| <S1A-001#M> | Men | Young | Pakeha | 1 | 
| <S1A-001#M> | Men | Young | Pakeha | 1 | 
| <S1A-001#M> | Men | Young | Pakeha | 0 | 
| <S1A-001#M> | Men | Young | Pakeha | 0 | 
| <S1A-001#M> | Men | Young | Pakeha | 0 | 
| <S1A-001#M> | Men | Young | Pakeha | 1 | 
| <S1A-001#M> | Men | Young | Pakeha | 0 | 
| <S1A-001#M> | Men | Young | Pakeha | 0 | 
| <S1A-001#M> | Men | Young | Pakeha | 1 | 
| <S1A-001#M> | Men | Young | Pakeha | 1 | 
| <S1A-001#M> | Men | Young | Pakeha | 0 | 
The summary of the data show that the data set contains 25,821 observations of five variables. The variable ID contains strings that represent a combination file and speaker of a speech unit. The second variable represents the gender, the third the age, and the fourth the ethnicity of speakers. The fifth variable represents whether or not a speech unit contained the discourse particle eh.
Next, we factorize the variables in our data set. In other words, we specify that the strings represent variable levels and define new reference levels because as a default R will use the variable level which first occurs in alphabet ordering as the reference level for each variable, we redefine the variable levels for Age and Ethnicity.
blrdata <- blrdata %>%
  # factorize variables
  dplyr::mutate(Age = factor(Age),
                Gender = factor(Gender),
                Ethnicity = factor(Ethnicity),
                ID = factor(ID),
                EH = factor(EH)) %>%
  # relevel Age (Reference = Young) and Ethnicity (Reference= Pakeha))
  dplyr::mutate(Age = relevel(Age, "Young"),
                Ethnicity = relevel(Ethnicity, "Pakeha"))After preparing the data, we will now plot the data to get an overview of potential relationships between variables.
blrdata %>%
  dplyr::mutate(EH = ifelse(EH == "0", 0, 1)) %>%
  ggplot(aes(Age, EH, color = Gender)) +
  facet_wrap(~Ethnicity) +
  stat_summary(fun = mean, geom = "point") +
  stat_summary(fun.data = mean_cl_boot, geom = "errorbar", width = 0.2) +
  theme_set(theme_bw(base_size = 10)) +
  theme(legend.position = "top") +
  labs(x = "", y = "Observed Probabilty of eh") +
  scale_color_manual(values = c("gray20", "gray70"))
With respect to main effects, the Figure above indicates that men use eh more frequently than women, that young speakers use it more frequently compared with old speakers, and that speakers that are descendants of European settlers (Pakeha) use eh more frequently compared with Maori (the native inhabitants of New Zealand).
The plots in the lower panels do not indicate significant interactions between use of eh and the Age, Gender, and Ethnicity of speakers. In a next step, we will start building the logistic regression model.
Model Building
As a first step, we need to define contrasts and use the datadist function to store aspects of our variables that can be accessed later when plotting and summarizing the model. Contrasts define what and how variable levels should be compared and therefore influences how the results of the regression analysis are presented. In this case, we use treatment contrasts which are in-built. Treatment contrasts mean that we assess the significance of levels of a predictor against a baseline which is the reference level of a predictor. Field, Miles, and Field (2012, 50:414–27) and Gries (2021) provide very good and accessible explanations of contrasts and how to manually define contrasts if you would like to know more.
# set contrasts
options(contrasts  =c("contr.treatment", "contr.poly"))
# extract distribution summaries for all potential variables
blrdata.dist <- datadist(blrdata)
# store distribution summaries for all potential variables
options(datadist = "blrdata.dist")Next, we generate a minimal model that predicts the use of eh solely based on the intercept.
# baseline glm model
m0.blr = glm(EH ~ 1, family = binomial, data = blrdata)Model fitting
We will now start with the model fitting procedure. In the present case, we will use a manual step-wise step-up procedure during which predictors are added to the model if they significantly improve the model fit. In addition, we will perform diagnostics as we fit the model at each step of the model fitting process rather than after the fitting.
We will test two things in particular: whether the data has incomplete information or complete separation and if the model suffers from (multi-)collinearity.
Incomplete information or complete separation means that the data does not contain all combinations of the predictor or the dependent variable. This is important because if the data does not contain cases of all combinations, the model will assume that it has found a perfect predictor. In such cases the model overestimates the effect of that that predictor and the results of that model are no longer reliable. For example, if eh was only used by young speakers in the data, the model would jump on that fact and say Ha! If there is an old speaker, that means that that speaker will never ever and under no circumstances say eh* - I can therefore ignore all other factors!*
Multicollinearity means that predictors correlate and have shared variance. This means that whichever predictor is included first will take all the variance that it can explain and the remaining part of the variable that is shared will not be attributed to the other predictor. This may lead to reporting that a factor is not significant because all of the variance it can explain is already accounted for. However, if the other predictor were included first, then the original predictor would be returned as insignificant. This means that- depending on the order in which predictors are added - the results of the regression can differ dramatically and the model is therefore not reliable. Multicollinearity is actually a very common problem and there are various ways to deal with it but it cannot be ignored (at least in regression analyses).
We will start by adding Age to the minimal adequate model.
# check incomplete information
ifelse(min(ftable(blrdata$Age, blrdata$EH)) == 0, "not possible", "possible")[1] "possible"# add age to the model
m1.blr = glm(EH ~ Age, family = binomial, data = blrdata)
# check multicollinearity (vifs should have values of 3 or lower for main effects)
ifelse(max(vif(m1.blr)) <= 3,  "vifs ok", "WARNING: high vifs!") # VIFs ok[1] "vifs ok"# check if adding Age significantly improves model fit
anova(m1.blr, m0.blr, test = "Chi")Analysis of Deviance Table
Model 1: EH ~ Age
Model 2: EH ~ 1
  Resid. Df  Resid. Dev Df     Deviance               Pr(>Chi)    
1     25819 32376.86081                                           
2     25820 33007.75469 -1 -630.8938871 < 0.000000000000000222 ***
---
Signif. codes:  0 '***' 0.001 '**' 0.01 '*' 0.05 '.' 0.1 ' ' 1As the data does not contain incomplete information, the vif values are below 3, and adding Age has significantly improved the model fit (the p-value of the ANOVA is lower than .05). We therefore proceed with Age included.
We continue by adding Gender. We add a second ANOVA test to see if including Gender affects the significance of other predictors in the model. If this were the case - if adding Gender would cause Age to become insignificant - then we could change the ordering in which we include predictors into our model.
ifelse(min(ftable(blrdata$Gender, blrdata$EH)) == 0, "not possible", "possible")[1] "possible"m2.blr <- update(m1.blr, . ~ . +Gender)
ifelse(max(vif(m2.blr)) <= 3,  "vifs ok", "WARNING: high vifs!") # VIFs ok[1] "vifs ok"anova(m2.blr, m1.blr, test = "Chi")Analysis of Deviance Table
Model 1: EH ~ Age + Gender
Model 2: EH ~ Age
  Resid. Df  Resid. Dev Df    Deviance               Pr(>Chi)    
1     25818 32139.54089                                          
2     25819 32376.86081 -1 -237.319914 < 0.000000000000000222 ***
---
Signif. codes:  0 '***' 0.001 '**' 0.01 '*' 0.05 '.' 0.1 ' ' 1Anova(m2.blr, test = "LR")Analysis of Deviance Table (Type II tests)
Response: EH
          LR Chisq Df             Pr(>Chisq)    
Age    668.6350712  1 < 0.000000000000000222 ***
Gender 237.3199140  1 < 0.000000000000000222 ***
---
Signif. codes:  0 '***' 0.001 '**' 0.01 '*' 0.05 '.' 0.1 ' ' 1Again, including Gender significantly improves model fit and the data does not contain incomplete information or complete separation. Also, including Gender does not affect the significance of Age. Now, we include Ethnicity.
ifelse(min(ftable(blrdata$Ethnicity, blrdata$EH)) == 0, "not possible", "possible")[1] "possible"m3.blr <- update(m2.blr, . ~ . +Ethnicity)
ifelse(max(vif(m3.blr)) <= 3,  "vifs ok", "WARNING: high vifs!") # VIFs ok[1] "vifs ok"anova(m3.blr, m2.blr, test = "Chi")Analysis of Deviance Table
Model 1: EH ~ Age + Gender + Ethnicity
Model 2: EH ~ Age + Gender
  Resid. Df  Resid. Dev Df      Deviance Pr(>Chi)
1     25817 32139.27988                          
2     25818 32139.54089 -1 -0.2610145387  0.60942Since adding Ethnicity does not significantly improve the model fit, we do not need to test if its inclusion affects the significance of other predictors. We continue without Ethnicity and include the interaction between Age and Gender.
ifelse(min(ftable(blrdata$Age, blrdata$Gender, blrdata$EH)) == 0, "not possible", "possible")[1] "possible"m4.blr <- update(m2.blr, . ~ . +Age*Gender)
ifelse(max(vif(m4.blr)) <= 3,  "vifs ok", "WARNING: high vifs!") # VIFs ok[1] "vifs ok"anova(m4.blr, m2.blr, test = "Chi")Analysis of Deviance Table
Model 1: EH ~ Age + Gender + Age:Gender
Model 2: EH ~ Age + Gender
  Resid. Df  Resid. Dev Df     Deviance Pr(>Chi)
1     25817 32139.41665                         
2     25818 32139.54089 -1 -0.124239923  0.72448The interaction between Age and Gender is not significant which means that men and women do not behave differently with respect to their use of EH as they age. Also, the data does not contain incomplete information and the model does not suffer from multicollinearity - the predictors are not collinear. We can now include if there is a significant interaction between Age and Ethnicity.
ifelse(min(ftable(blrdata$Age, blrdata$Ethnicity, blrdata$EH)) == 0, "not possible", "possible")[1] "possible"m5.blr <- update(m2.blr, . ~ . +Age*Ethnicity)
ifelse(max(vif(m5.blr)) <= 3,  "vifs ok", "WARNING: high vifs!") # VIFs ok[1] "vifs ok"anova(m5.blr, m2.blr, test = "Chi")Analysis of Deviance Table
Model 1: EH ~ Age + Gender + Ethnicity + Age:Ethnicity
Model 2: EH ~ Age + Gender
  Resid. Df  Resid. Dev Df     Deviance Pr(>Chi)
1     25816 32136.47224                         
2     25818 32139.54089 -2 -3.068654514   0.2156Again, no incomplete information or multicollinearity and no significant interaction. Now, we test if there exists a significant interaction between Gender and Ethnicity.
ifelse(min(ftable(blrdata$Gender, blrdata$Ethnicity, blrdata$EH)) == 0, "not possible", "possible")[1] "possible"m6.blr <- update(m2.blr, . ~ . +Gender*Ethnicity)
ifelse(max(vif(m6.blr)) <= 3,  "vifs ok", "WARNING: high vifs!") # VIFs ok[1] "vifs ok"anova(m6.blr, m2.blr, test = "Chi")Analysis of Deviance Table
Model 1: EH ~ Age + Gender + Ethnicity + Gender:Ethnicity
Model 2: EH ~ Age + Gender
  Resid. Df  Resid. Dev Df      Deviance Pr(>Chi)
1     25816 32139.26864                          
2     25818 32139.54089 -2 -0.2722521835  0.87273As the interaction between Gender and Ethnicity is not significant, we continue without it. In a final step, we include the three-way interaction between Age, Gender, and Ethnicity.
ifelse(min(ftable(blrdata$Age, blrdata$Gender, blrdata$Ethnicity, blrdata$EH)) == 0, "not possible", "possible")[1] "possible"m7.blr <- update(m2.blr, . ~ . +Gender*Ethnicity)
ifelse(max(vif(m7.blr)) <= 3,  "vifs ok", "WARNING: high vifs!") # VIFs ok[1] "vifs ok"anova(m7.blr, m2.blr, test = "Chi")Analysis of Deviance Table
Model 1: EH ~ Age + Gender + Ethnicity + Gender:Ethnicity
Model 2: EH ~ Age + Gender
  Resid. Df  Resid. Dev Df      Deviance Pr(>Chi)
1     25816 32139.26864                          
2     25818 32139.54089 -2 -0.2722521835  0.87273We have found our final minimal adequate model because the 3-way interaction is also insignificant. As we have now arrived at the final minimal adequate model (m2.blr), we generate a final minimal model using the lrm function.
m2.lrm <- lrm(EH ~ Age+Gender, data = blrdata, x = T, y = T, linear.predictors = T)
m2.lrmLogistic Regression Model
lrm(formula = EH ~ Age + Gender, data = blrdata, x = T, y = T, 
    linear.predictors = T)
                       Model Likelihood        Discrimination    Rank Discrim.    
                             Ratio Test               Indexes          Indexes    
Obs         25821    LR chi2     868.21        R2       0.046    C       0.602    
 0          17114    d.f.             2      R2(2,25821)0.033    Dxy     0.203    
 1           8707    Pr(> chi2) <0.0001    R2(2,17312.8)0.049    gamma   0.302    
max |deriv| 0.001                              Brier    0.216    tau-a   0.091    
             Coef    S.E.   Wald Z Pr(>|Z|)
Intercept    -0.2324 0.0223 -10.44 <0.0001 
Age=Old      -0.8305 0.0335 -24.78 <0.0001 
Gender=Women -0.4201 0.0273 -15.42 <0.0001 anova(m2.lrm)                Wald Statistics          Response: EH 
 Factor     Chi-Square d.f. P     
 Age        614.04     1    <.0001
 Gender     237.65     1    <.0001
 TOTAL      802.65     2    <.0001After fitting the model, we validate the model to avoid arriving at a final minimal model that is overfitted to the data at hand.
Model Validation
To validate a model, you can apply the validate function and apply it to a saturated model. The output of the validate function shows how often predictors are retained if the sample is re-selected with the same size but with placing back drawn data points. The execution of the function requires some patience as it is rather computationally expensive and it is, therefore, commented out below.
# model validation (remove # to activate: output too long for website)
m7.lrm <- lrm(EH ~ (Age+Gender+Ethnicity)^3, data = blrdata, x = T, y = T, linear.predictors = T)
#validate(m7.lrm, bw = T, B = 200)The validate function shows that retaining two predictors (Age and Gender) is the best option and thereby confirms our final minimal adequate model as the best minimal model. In addition, we check whether we need to include a penalty for data points because they have too strong of an impact of the model fit. To see whether a penalty is warranted, we apply the pentrace function to the final minimal adequate model.
pentrace(m2.lrm, seq(0, 0.8, by = 0.05)) # determine penalty
Best penalty:
 penalty            df
     0.8 1.99925395138
 penalty            df           aic           bic         aic.c
    0.00 2.00000000000 864.213801118 847.895914332 864.213336326
    0.05 1.99995335085 864.213893813 847.896387634 864.213429039
    0.10 1.99990670452 864.213985334 847.896859740 864.213520578
    0.15 1.99986006100 864.214075646 847.897330614 864.213610908
    0.20 1.99981342030 864.214164767 847.897800274 864.213700047
    0.25 1.99976678241 864.214252714 847.898268736 864.213788012
    0.30 1.99972014734 864.214339445 847.898735960 864.213874761
    0.35 1.99967351509 864.214424994 847.899201979 864.213960328
    0.40 1.99962688564 864.214509361 847.899666793 864.214044713
    0.45 1.99958025902 864.214592526 847.900130383 864.214127897
    0.50 1.99953363520 864.214674501 847.900592759 864.214209890
    0.55 1.99948701420 864.214755277 847.901053913 864.214290684
    0.60 1.99944039601 864.214834874 847.901513864 864.214370298
    0.65 1.99939378063 864.214913278 847.901972601 864.214448721
    0.70 1.99934716807 864.214990481 847.902430113 864.214525941
    0.75 1.99930055832 864.215066520 847.902886439 864.214601999
    0.80 1.99925395138 864.215141350 847.903341532 864.214676847The values are so similar that a penalty is unnecessary. In a next step, we rename the final models.
lr.glm <- m2.blr  # rename final minimal adequate glm model
lr.lrm <- m2.lrm  # rename final minimal adequate lrm modelNow, we calculate a Model Likelihood Ratio Test to check if the final model performs significantly better than the initial minimal base-line model. The result of this test is provided as a default if we call a summary of the lrm object.
modelChi <- lr.glm$null.deviance - lr.glm$deviance
chidf <- lr.glm$df.null - lr.glm$df.residual
chisq.prob <- 1 - pchisq(modelChi, chidf)
modelChi; chidf; chisq.prob[1] 868.21380111[1] 2[1] 0The code above provides three values: a \(\chi\)2, the degrees of freedom, and a p-value. The p-value is lower than .05 and the results of the Model Likelihood Ratio Test therefore confirm that the final minimal adequate model performs significantly better than the initial minimal base-line model. Another way to extract the model likelihood test statistics is to use an ANOVA to compare the final minimal adequate model to the minimal base-line model.
A handier way to get these statistics is by performing an ANOVA on the final minimal model which, if used this way, is identical to a Model Likelihood Ratio test.
anova(m0.glm, lr.glm, test = "Chi") # Model Likelihood Ratio TestWarning in anova.glmlist(c(list(object), dotargs), dispersion = dispersion, :
models with response '"EH"' removed because response differs from model 1Analysis of Deviance Table
Model: gaussian, link: identity
Response: money
Terms added sequentially (first to last)
     Df Deviance Resid. Df  Resid. Dev Pr(>Chi)
NULL                    97 213227.0608         In a next step, we calculate pseudo-R2 values which represent the amount of residual variance that is explained by the final minimal adequate model. We cannot use the ordinary R2 because the model works on the logged probabilities rather than the values of the dependent variable.
# calculate pseudo R^2
# number of cases
ncases <- length(fitted(lr.glm))
R2.hl <- modelChi/lr.glm$null.deviance
R.cs <- 1 - exp ((lr.glm$deviance - lr.glm$null.deviance)/ncases)
R.n <- R.cs /( 1- ( exp (-(lr.glm$null.deviance/ ncases))))
# function for extracting pseudo-R^2
logisticPseudoR2s <- function(LogModel) {
  dev <- LogModel$deviance
    nullDev <- LogModel$null.deviance
    modelN <-  length(LogModel$fitted.values)
    R.l <-  1 -  dev / nullDev
    R.cs <- 1- exp ( -(nullDev - dev) / modelN)
    R.n <- R.cs / ( 1 - ( exp (-(nullDev / modelN))))
    cat("Pseudo R^2 for logistic regression\n")
    cat("Hosmer and Lemeshow R^2  ", round(R.l, 3), "\n")
    cat("Cox and Snell R^2        ", round(R.cs, 3), "\n")
    cat("Nagelkerke R^2           ", round(R.n, 3),    "\n") }
logisticPseudoR2s(lr.glm)Pseudo R^2 for logistic regression
Hosmer and Lemeshow R^2   0.026 
Cox and Snell R^2         0.033 
Nagelkerke R^2            0.046 The low pseudo-R2 values show that our model has very low explanatory power. For instance, the value of Hosmer and Lemeshow R2 (0.026) “is the proportional reduction in the absolute value of the log-likelihood measure and as such it is a measure of how much the badness of fit improves as a result of the inclusion of the predictor variables” (Field, Miles, and Field 2012, 50:317). In essence, all the pseudo-R2 values are measures of how substantive the model is (how much better it is compared to a baseline model). Next, we extract the confidence intervals for the coefficients of the model.
# extract the confidence intervals for the coefficients
confint(lr.glm)                      2.5 %          97.5 %
(Intercept) -0.276050866670 -0.188778707810
AgeOld      -0.896486392279 -0.765095825382
GenderWomen -0.473530977637 -0.366703827307Despite having low explanatory and predictive power, the age of speakers and their gender are significant as the confidence intervals of the coefficients do not overlap with 0.
Effect Size
In a next step, we compute odds ratios and their confidence intervals. Odds Ratios represent a common measure of effect size and can be used to compare effect sizes across models. Odds ratios rang between 0 and infinity. Values of 1 indicate that there is no effect. The further away the values are from 1, the stronger the effect. If the values are lower than 1, then the variable level correlates negatively with the occurrence of the outcome (the probability decreases) while values above 1 indicate a positive correlation and show that the variable level causes an increase in the probability of the outcome (the occurrence of EH).
exp(lr.glm$coefficients) # odds ratios   (Intercept)         AgeOld    GenderWomen 
0.792642499264 0.435815384592 0.656972294902 exp(confint(lr.glm))     # confidence intervals of the odds ratiosWaiting for profiling to be done...                     2.5 %         97.5 %
(Intercept) 0.758774333456 0.827969709653
AgeOld      0.408000698619 0.465289342309
GenderWomen 0.622799290871 0.693014866732The odds ratios confirm that older speakers use eh significantly less often compared with younger speakers and that women use eh less frequently than men as the confidence intervals of the odds rations do not overlap with 1. In a next step, we calculate the prediction accuracy of the model.
Prediction Accuracy
In order to calculate the prediction accuracy of the model, we generate a variable called Prediction that contains the predictions of pour model and which we add to the data. Then, we use the confusionMatrix function from the caret package (Kuhn 2021) to extract the prediction accuracy.
# create variable with contains the prediction of the model
blrdata <- blrdata %>%
  dplyr::mutate(Prediction = predict(lr.glm, type = "response"),
                Prediction = ifelse(Prediction > .5, 1, 0),
                Prediction = factor(Prediction, levels = c("0", "1")),
                EH = factor(EH, levels = c("0", "1")))
# create a confusion matrix with compares observed against predicted values
caret::confusionMatrix(blrdata$Prediction, blrdata$EH)Confusion Matrix and Statistics
          Reference
Prediction     0     1
         0 17114  8707
         1     0     0
                                                    
               Accuracy : 0.66279385                
                 95% CI : (0.656990096, 0.668560948)
    No Information Rate : 0.66279385                
    P-Value [Acc > NIR] : 0.5029107                 
                                                    
                  Kappa : 0                         
                                                    
 Mcnemar's Test P-Value : < 0.00000000000000022     
                                                    
            Sensitivity : 1.00000000                
            Specificity : 0.00000000                
         Pos Pred Value : 0.66279385                
         Neg Pred Value :        NaN                
             Prevalence : 0.66279385                
         Detection Rate : 0.66279385                
   Detection Prevalence : 1.00000000                
      Balanced Accuracy : 0.50000000                
                                                    
       'Positive' Class : 0                         
                                                    We can see that out model has never predicted the use of eh which is common when dealing with rare phenomena. This is expected as the event s so rare that the probability of it not occurring substantively outweighs the probability of it occurring. As such, the prediction accuracy of our model is not significantly better compared to the prediction accuracy of the baseline model which is the no-information rate (NIR)) (p = 0.5029).
We can use the plot_model function from the sjPlot package (Lüdecke 2021) to visualize the effects.
# predicted probability
efp1 <- plot_model(lr.glm, type = "pred", terms = c("Age"), axis.lim = c(0, 1)) 
# predicted percentage
efp2 <- plot_model(lr.glm, type = "pred", terms = c("Gender"), axis.lim = c(0, 1)) 
gridExtra::grid.arrange(efp1, efp2, nrow = 1)
And we can also combine the visualization of the effects in a single plot as shown below.
sjPlot::plot_model(lr.glm, type = "pred", terms = c("Age", "Gender"), axis.lim = c(0, 1)) +
  theme(legend.position = "top") +
  labs(x = "", y = "Predicted Probabilty of eh", title = "") +
  scale_color_manual(values = c("gray20", "gray70"))
Model Diagnostics
We are now in a position to perform model diagnostics and test if the model violates distributional requirements. In a first step, we test for the existence of multicollinearity.
Multicollinearity
Multicollinearity means that predictors in a model can be predicted by other predictors in the model (this means that they share variance with other predictors). If this is the case, the model results are unreliable because the presence of absence of one predictor has substantive effects on at least one other predictor.
To check whether the final minimal model contains predictors that correlate with each other, we extract variance inflation factors (VIF). If a model contains predictors that have variance inflation factors (VIF) > 10 the model is unreliable (Myers 1990). Gries (2021) shows that a VIF of 10 means that that predictor is explainable (predictable) from the other predictors in the model with an R2 of .9 (a VIF of 5 means that predictor is explainable (predictable) from the other predictors in the model with an R2 of .8).Indeed, predictors with VIF values greater than 4 are usually already problematic but, for large data sets, even VIFs greater than 2 can lead inflated standard errors (Jaeger 2013). Also, VIFs of 2.5 can be problematic (Szmrecsanyi 2006, 215) and (Zuur, Ieno, and Elphick 2010) proposes that variables with VIFs exceeding 3 should be removed.
NOTE 
 However, (multi-)collinearity is only an issue if one is interested in interpreting regression results! If the interpretation is irrelevant because what is relevant is prediction(!), then it does not matter if the model contains collinear predictors! See Gries (2021) or the excursion below for a more elaborate explanation.
EXCURSION: WHAT IS MULTICOLLINEARITY?
Read more
When talking about (multi-)collinearity during a workshop, someone asked if collinearity reflected shared variance (what I thought) or predictability of variables (what the other person thought). Both answers are correct! We will see below why…
(Multi-)collinearity reflects the predictability of predictors based on the values of other predictors!
To test this, I generate a data set with 4 independent variables a, b, c, and d as well as two potential response variables r1 (which is random) and r2 (where the first 50 data points are the same as in r1 but for the second 50 data points I have added a value of 50 to the data points 51 to 100 from r1). This means that the predictors a and d should both strongly correlate with r2.
  # load packages
  library(dplyr)
  library(rms)
  # create data set
  # responses
  # 100 random numbers
  r1 <- rnorm(100, 50, 10)
  # 50 smaller + 50 larger numbers
  r2 <- c(r1[1:50], r1[51:100] + 50)
  # predictors
  a <- c(rep("1", 50), rep ("0", 50))
  b <- rep(c(rep("1", 25), rep ("0", 25)), 2)
  c <- rep(c(rep("1", 10), rep("0", 10)), 5)
  d <- c(rep("1", 47), rep ("0", 3), rep ("0", 47), rep ("1", 3))
  # create data set
  df <- data.frame(r1, r2, a, b, c, d)| r1 | r2 | a | b | c | d | 
|---|---|---|---|---|---|
| 55.3805120133 | 55.3805120133 | 1 | 1 | 1 | 1 | 
| 50.5169933942 | 50.5169933942 | 1 | 1 | 1 | 1 | 
| 67.5135734932 | 67.5135734932 | 1 | 1 | 1 | 1 | 
| 60.1733973728 | 60.1733973728 | 1 | 1 | 1 | 1 | 
| 72.3678161278 | 72.3678161278 | 1 | 1 | 1 | 1 | 
| 52.4309002788 | 52.4309002788 | 1 | 1 | 1 | 1 | 
| 55.6904236277 | 55.6904236277 | 1 | 1 | 1 | 1 | 
| 44.2366484882 | 44.2366484882 | 1 | 1 | 1 | 1 | 
| 55.5987335816 | 55.5987335816 | 1 | 1 | 1 | 1 | 
| 58.3120761737 | 58.3120761737 | 1 | 1 | 1 | 1 | 
Here are the visualizations of r1 and r2


Fit first model
Now, I fit a first model. As the response is random, we do not expect any of the predictors to have a significant effect and we expect the R2 to be rather low.
  m1 <- lm(r1 ~ a + b + c + d, data = df)
  # inspect model
  summary(m1)
Call:
lm(formula = r1 ~ a + b + c + d, data = df)
Residuals:
          Min            1Q        Median            3Q           Max 
-25.076373713  -7.774694324   0.933388851   6.630369791  22.021652947 
Coefficients:
                Estimate   Std. Error  t value             Pr(>|t|)    
(Intercept) 46.077236782  2.059313248 22.37505 < 0.0000000000000002 ***
a1           5.957479586  4.593681927  1.29689             0.197812    
b1           5.148440925  2.098541787  2.45334             0.015977 *  
c1          -0.213502165  2.188893729 -0.09754             0.922504    
d1          -5.232737413  4.515342995 -1.15888             0.249410    
---
Signif. codes:  0 '***' 0.001 '**' 0.01 '*' 0.05 '.' 0.1 ' ' 1
Residual standard error: 10.4927089 on 95 degrees of freedom
Multiple R-squared:  0.075627922,   Adjusted R-squared:  0.0367069924 
F-statistic: 1.94311705 on 4 and 95 DF,  p-value: 0.109586389We now check for (multi-)collinearity using the vif function from the rms package (Harrell Jr 2021). Variables a and d should have high variance inflation factor values (vif-values) because they overlap very much!
  # extract vifs
  rms::vif(m1)           a1            b1            c1            d1 
4.79166666667 1.00000000000 1.08796296296 4.62962962963 Variables a and d do indeed have high vif-values.
Fit second model
We now fit a second model to the response which has higher values for the latter part of the response. Both a and d strongly correlate with the response. But because a and d are collinear, d should not be reported as being significant by the model. The R2 of the model should be rather high (given the correlation between the response r2 and a and d).
  m2 <- lm(r2 ~ a + b + c + d, data = df)
  # inspect model
  summary(m2)
Call:
lm(formula = r2 ~ a + b + c + d, data = df)
Residuals:
          Min            1Q        Median            3Q           Max 
-25.076373713  -7.774694324   0.933388851   6.630369791  22.021652947 
Coefficients:
                 Estimate    Std. Error  t value               Pr(>|t|)    
(Intercept)  96.077236782   2.059313248 46.65499 < 0.000000000000000222 ***
a1          -44.042520414   4.593681927 -9.58763  0.0000000000000012574 ***
b1            5.148440925   2.098541787  2.45334               0.015977 *  
c1           -0.213502165   2.188893729 -0.09754               0.922504    
d1           -5.232737413   4.515342995 -1.15888               0.249410    
---
Signif. codes:  0 '***' 0.001 '**' 0.01 '*' 0.05 '.' 0.1 ' ' 1
Residual standard error: 10.4927089 on 95 degrees of freedom
Multiple R-squared:  0.851726565,   Adjusted R-squared:  0.845483473 
F-statistic: 136.427041 on 4 and 95 DF,  p-value: < 0.0000000000000002220446Again, we extract the vif-values.
  # extract vifs
  rms::vif(m2)           a1            b1            c1            d1 
4.79166666667 1.00000000000 1.08796296296 4.62962962963 The vif-values are identical which shows that what matters is if the variables are predictable. To understand how we arrive at vif-values, we inspect the model matrix.
# inspect model matrix
  mm <- model.matrix(m2)| (Intercept) | a1 | b1 | c1 | d1 | 
|---|---|---|---|---|
| 1 | 1 | 1 | 1 | 1 | 
| 1 | 1 | 1 | 1 | 1 | 
| 1 | 1 | 1 | 1 | 1 | 
| 1 | 1 | 1 | 1 | 1 | 
| 1 | 1 | 1 | 1 | 1 | 
| 1 | 1 | 1 | 1 | 1 | 
| 1 | 1 | 1 | 1 | 1 | 
| 1 | 1 | 1 | 1 | 1 | 
| 1 | 1 | 1 | 1 | 1 | 
| 1 | 1 | 1 | 1 | 1 | 
| 1 | 1 | 1 | 0 | 1 | 
| 1 | 1 | 1 | 0 | 1 | 
| 1 | 1 | 1 | 0 | 1 | 
| 1 | 1 | 1 | 0 | 1 | 
| 1 | 1 | 1 | 0 | 1 | 
We now fit a linear model in which we predict d from the other predictors in the model matrix.
  mt <- lm(mm[,5] ~ mm[,1:4])
  summary(mt)$r.squared[1] 0.784The R2 shows that the values of d are explained to 78.4 percent by the values of the other predictors in the model.
Now, we can write a function (taken from Gries 2021) that converts this R2 value
  R2.to.VIF <- function(some.modelmatrix.r2) {
  return(1/(1-some.modelmatrix.r2)) } 
  R2.to.VIF(0.784)[1] 4.62962962963The function outputs the vif-value of d. This shows that the vif-value of d represents its predictability from the other predictors in the model matrix which represents the amount of shared variance between d and the other predictors in the model.
We now extract and check the VIFs of the model.
vif(lr.glm)       AgeOld   GenderWomen 
1.00481494539 1.00481494539 In addition, predictors with 1/VIF values \(<\) .1 must be removed (data points with values above .2 are considered problematic) (Menard 1995) and the mean value of VIFs should be \(~\) 1 (Bowerman and O’Connell 1990).
mean(vif(lr.glm))[1] 1.00481494539Outlier detection
In order to detect potential outliers, we will calculate diagnostic parameters and add these to our data set.
infl <- influence.measures(lr.glm) # calculate influence statistics
blrdata <- data.frame(blrdata, infl[[1]], infl[[2]]) # add influence statisticsIn a next step, we use these diagnostic parameters to check if there are data points which should be removed as they unduly affect the model fit.
Sample Size
We now check whether the sample size is sufficient for our analysis (Green 1991).
- if you are interested in the overall model: 50 + 8k (k = number of predictors) 
- if you are interested in individual predictors: 104 + k 
- if you are interested in both: take the higher value! 
# function to evaluate sample size
smplesz <- function(x) {
  ifelse((length(x$fitted) < (104 + ncol(summary(x)$coefficients)-1)) == TRUE,
    return(
      paste("Sample too small: please increase your sample by ",
      104 + ncol(summary(x)$coefficients)-1 - length(x$fitted),
      " data points", collapse = "")),
    return("Sample size sufficient")) }
# apply unction to model
smplesz(lr.glm)[1] "Sample size sufficient"According to rule of thumb provided in Green (1991), the sample size is sufficient for our analysis.
Summarizing Results
As a final step, we summarize our findings in tabulated form.
sjPlot::tab_model(lr.glm)| EH | |||
| Predictors | Odds Ratios | CI | p | 
| (Intercept) | 0.79 | 0.76 – 0.83 | <0.001 | 
| Age [Old] | 0.44 | 0.41 – 0.47 | <0.001 | 
| Gender [Women] | 0.66 | 0.62 – 0.69 | <0.001 | 
| Observations | 25821 | ||
| R2 Tjur | 0.032 | ||
R2 (Hosmer & Lemeshow)
Hosmer and Lemeshow’s R2 “is the proportional reduction in the absolute value of the log-likelihood measure and as such it is a measure of how much the badness of fit improves as a result of the inclusion of the predictor variables. It can vary between 0 (indicating that the predictors are useless at predicting the outcome variable) and 1 (indicating that the model predicts the outcome variable perfectly)” (Field, Miles, and Field 2012, 50:317).
R2 (Cox & Snell)
“Cox and Snell’s R2 (1989) is based on the deviance of the model (-2LL(new») and the deviance of the baseline model (-2LL(baseline), and the sample size, n […]. However, this statistic never reaches its theoretical maximum of 1.
R2 (Nagelkerke)
Since R2 (Cox & Snell) never reaches its theoretical maximum of 1, Nagelkerke (1991) suggested Nagelkerke’s R2 (Field, Miles, and Field 2012, 50:317–18).
Somers’ Dxy
Somers’ Dxy is a rank correlation between predicted probabilities and observed responses ranges between 0 (randomness) and 1 (perfect prediction). Somers’ Dxy should have a value higher than .5 for the model to be meaningful (Baayen 2008, 204).
C
C is an index of concordance between the predicted probability and the observed response. When C takes the value 0.5, the predictions are random, when it is 1, prediction is perfect. A value above 0.8 indicates that the model may have some real predictive capacity (Baayen 2008, 204).
Akaike information criteria (AIC)
Akaike information criteria (AlC = -2LL + 2k) provide a value that reflects a ratio between the number of predictors in the model and the variance that is explained by these predictors. Changes in AIC can serve as a measure of whether the inclusion of a variable leads to a significant increase in the amount of variance that is explained by the model. “You can think of this as the price you pay for something: you get a better value of R2, but you pay a higher price, and was that higher price worth it? These information criteria help you to decide. The BIC is the same as the AIC but adjusts the penalty included in the AlC (i.e., 2k) by the number of cases: BlC = -2LL + 2k x log(n) in which n is the number of cases in the model” (Field, Miles, and Field 2012, 50:318).
We can use the reports package (Makowski et al. 2021) to summarize the analysis.
report::report(lr.glm)We fitted a logistic model (estimated using ML) to predict EH with Age and
Gender (formula: EH ~ Age + Gender). The model's explanatory power is weak
(Tjur's R2 = 0.03). The model's intercept, corresponding to Age = Young and
Gender = Men, is at -0.23 (95% CI [-0.28, -0.19], p < .001). Within this model:
  - The effect of Age [Old] is statistically significant and negative (beta =
-0.83, 95% CI [-0.90, -0.77], p < .001; Std. beta = -0.83, 95% CI [-0.90,
-0.77])
  - The effect of Gender [Women] is statistically significant and negative (beta
= -0.42, 95% CI [-0.47, -0.37], p < .001; Std. beta = -0.42, 95% CI [-0.47,
-0.37])
Standardized parameters were obtained by fitting the model on a standardized
version of the dataset. 95% Confidence Intervals (CIs) and p-values were
computed using a Wald z-distribution approximation.We can use this output to write up a final report:
We fitted a logistic model (estimated using ML) to predict the use of the utterance-final discourse particle eh with Age and Gender (formula: EH ~ Age + Gender). The model’s explanatory power is weak (Tjur’s R2 = 0.03). The model’s intercept, corresponding to Age = Young and Gender = Men, is at -0.23 (95% CI [-0.28, -0.19], p < .001). Within this model:
- The effect of Age [Old] is statistically significant and negative (beta = -0.83, 95% CI [-0.90, -0.77], p < .001; Std. beta = -0.83, 95% CI [-0.90, -0.77]) 
- The effect of Gender [Women] is statistically significant and negative (beta = -0.42, 95% CI [-0.47, -0.37], p < .001; Std. beta = -0.42, 95% CI [-0.47, -0.37]) 
Standardized parameters were obtained by fitting the model on a standardized version of the dataset. 95% Confidence Intervals (CIs) and p-values were computed using
Ordinal Regression
Ordinal regression is very similar to multiple linear regression but takes an ordinal dependent variable (Agresti 2010). For this reason, ordinal regression is one of the key methods in analysing Likert data.
To see how an ordinal regression is implemented in R, we load and inspect the ´ordinaldata´ data set. The data set consists of 400 observations of students that were either educated at this school (Internal = 1) or not (Internal = 0). Some of the students have been abroad (Exchange = 1) while other have not (Exchange = 0). In addition, the data set contains the students’ final score of a language test (FinalScore) and the dependent variable which the recommendation of a committee for an additional, very prestigious program. The recommendation has three levels (very likely, somewhat likely, and unlikely) and reflects the committees’ assessment of whether the student is likely to succeed in the program.
# load data
ordata  <- base::readRDS("tutorials/regression/data/ord.rda", "rb") %>%
  dplyr::rename(Recommend = 1, 
              Internal = 2, 
              Exchange = 3, 
              FinalScore = 4) %>%
  dplyr::mutate(FinalScore = round(FinalScore, 2))| Recommend | Internal | Exchange | FinalScore | 
|---|---|---|---|
| very likely | 0 | 0 | 3.26 | 
| somewhat likely | 1 | 0 | 3.21 | 
| unlikely | 1 | 1 | 3.94 | 
| somewhat likely | 0 | 0 | 2.81 | 
| somewhat likely | 0 | 0 | 2.53 | 
| unlikely | 0 | 1 | 2.59 | 
| somewhat likely | 0 | 0 | 2.56 | 
| somewhat likely | 0 | 0 | 2.73 | 
| unlikely | 0 | 0 | 3.00 | 
| somewhat likely | 1 | 0 | 3.50 | 
| unlikely | 1 | 1 | 3.65 | 
| somewhat likely | 0 | 0 | 2.84 | 
| very likely | 0 | 1 | 3.90 | 
| somewhat likely | 0 | 0 | 2.68 | 
| unlikely | 1 | 0 | 3.57 | 
In a first step, we need to relevel the ordinal variable to represent an ordinal factor (or a progression from “unlikely” over “somewhat likely” to “very likely”. And we will also factorize Internal and Exchange to make it easier to interpret the output later on.
# relevel data
ordata <- ordata %>%
  dplyr::mutate(Recommend = factor(Recommend, 
                           levels=c("unlikely", "somewhat likely", "very likely"),
                           labels=c("unlikely",  "somewhat likely",  "very likely"))) %>%
  dplyr::mutate(Exchange = ifelse(Exchange == 1, "Exchange", "NoExchange")) %>%
  dplyr::mutate(Internal = ifelse(Internal == 1, "Internal", "External"))Now that the dependent variable is releveled, we check the distribution of the variable levels by tabulating the data. To get a better understanding of the data we create frequency tables across variables rather than viewing the variables in isolation.
## three way cross tabs (xtabs) and flatten the table
ftable(xtabs(~ Exchange + Recommend + Internal, data = ordata))                           Internal External Internal
Exchange   Recommend                                 
Exchange   unlikely                       25        6
           somewhat likely                12        4
           very likely                     7        3
NoExchange unlikely                      175       14
           somewhat likely                98       26
           very likely                    20       10We also check the mean and standard deviation of the final score as final score is a numeric variable and cannot be tabulated (unless we convert it to a factor).
summary(ordata$FinalScore); sd(ordata$FinalScore)    Min.  1st Qu.   Median     Mean  3rd Qu.     Max. 
1.900000 2.720000 2.990000 2.998925 3.270000 4.000000 [1] 0.397940933861The lowest score is 1.9 and the highest score is a 4.0 with a mean of approximately 3. Finally, we inspect the distributions graphically.
# visualize data
ggplot(ordata, aes(x = Recommend, y = FinalScore)) +
  geom_boxplot(size = .75) +
  geom_jitter(alpha = .5) +
  facet_grid(Exchange ~ Internal, margins = TRUE) +
  theme(axis.text.x = element_text(angle = 45, hjust = 1, vjust = 1))
We see that we have only few students that have taken part in an exchange program and there are also only few internal students overall. With respect to recommendations, only few students are considered to very likely succeed in the program. We can now start with the modeling by using the polr function. To make things easier for us, we will only consider the main effects here as this tutorial only aims to how to implement an ordinal regression but not how it should be done in a proper study - then, the model fitting and diagnostic procedures would have to be performed accurately, of course.
# fit ordered logit model and store results 'm'
m.or <- polr(Recommend ~ Internal + Exchange + FinalScore, data = ordata, Hess=TRUE)
# summarize model
summary(m.or)Call:
polr(formula = Recommend ~ Internal + Exchange + FinalScore, 
    data = ordata, Hess = TRUE)
Coefficients:
                          Value  Std. Error     t value
InternalInternal   1.0476639460 0.265789134 3.941710973
ExchangeNoExchange 0.0586810767 0.297858822 0.197009698
FinalScore         0.6157435926 0.260631275 2.362508462
Intercepts:
                            Value       Std. Error  t value    
unlikely|somewhat likely    2.261997623 0.882173604 2.564118460
somewhat likely|very likely 4.357441880 0.904467838 4.817685824
Residual Deviance: 717.024871356 
AIC: 727.024871356 The results show that having studied here at this school increases the chances of receiving a positive recommendation but that having been on an exchange has a negative but insignificant effect on the recommendation. The final score also correlates positively with a positive recommendation but not as much as having studied here.
## store table
(ctable <- coef(summary(m.or)))                                      Value     Std. Error        t value
InternalInternal            1.0476639460469 0.265789134041 3.941710972596
ExchangeNoExchange          0.0586810766831 0.297858821982 0.197009698396
FinalScore                  0.6157435925546 0.260631274948 2.362508462104
unlikely|somewhat likely    2.2619976233665 0.882173604268 2.564118459703
somewhat likely|very likely 4.3574418799106 0.904467837679 4.817685824068As the regression report does not provide p-values, we have to calculate them separately (after having calculated them, we add them to the coefficient table).
## calculate and store p values
p <- pnorm(abs(ctable[, "t value"]), lower.tail = FALSE) * 2
## combined table
(ctable <- cbind(ctable, "p value" = p))                                      Value     Std. Error        t value
InternalInternal            1.0476639460469 0.265789134041 3.941710972596
ExchangeNoExchange          0.0586810766831 0.297858821982 0.197009698396
FinalScore                  0.6157435925546 0.260631274948 2.362508462104
unlikely|somewhat likely    2.2619976233665 0.882173604268 2.564118459703
somewhat likely|very likely 4.3574418799106 0.904467837679 4.817685824068
                                        p value
InternalInternal            0.00008090242989074
ExchangeNoExchange          0.84381994829785778
FinalScore                  0.01815172703308379
unlikely|somewhat likely    0.01034382345527199
somewhat likely|very likely 0.00000145232812832As predicted, Exchange does not have a significant effect but FinalScore and Internal both correlate significantly with the likelihood of receiving a positive recommendation.
# extract profiled confidence intervals
ci <- confint(m.or)
# calculate odds ratios and combine them with profiled CIs
exp(cbind(OR = coef(m.or), ci))                              OR          2.5 %        97.5 %
InternalInternal   2.85098328212 1.695837799597 4.81711408266
ExchangeNoExchange 1.06043698872 0.595033205649 1.91977108408
FinalScore         1.85103250193 1.113625249822 3.09849059342The odds ratios show that internal students are 2.85 times or 285 percent as likely as non-internal students to receive positive evaluations and that a 1-point increase in the test score lead to a 1.85 times or 185 percent increase in the chances of receiving a positive recommendation. The effect of an exchange is slightly negative but, as we have seen above, not significant.
Poisson Regression
This section is based on this tutorials on how to perform a Poisson regression in R.
NOTE 
 Poisson regressions are used to analyze data where the dependent variable represents counts.
This applied particularly to counts that are based on observations of something that is measured in set intervals. For instances the number of pauses in two-minute-long conversations. Poisson regressions are particularly appealing when dealing with rare events, i.e. when something only occurs very infrequently. In such cases, normal linear regressions do not work because the instances that do occur are automatically considered outliers. Therefore, it is useful to check if the data conform to a Poisson distribution.
However, the tricky thing about Poisson regressions is that the data has to conform to the Poisson distribution which is, according to my experience, rarely the case, unfortunately. The Gaussian Normal Distribution is very flexible because it is defined by two parameters, the mean (mu, i.e. \(\mu\)) and the standard deviation (sigma, i.e. \(\sigma\)). This allows the normal distribution to take very different shapes (for example, very high and slim (compressed) or very wide and flat). In contrast, the Poisson is defined by only one parameter (lambda, i.e. \(\lambda\)) which mean that if we have a mean of 2, then the standard deviation is also 2 (actually we would have to say that the mean is \(\lambda\) and the standard deviation is also \(\lambda\) or \(\lambda\) = \(\mu\) = \(\sigma\)). This is much trickier for natural data as this means that the Poisson distribution is very rigid.

As we can see, as \(\lambda\) takes on higher values, the distribution becomes wider and flatter - a compressed distribution with a high mean can therefore not be Poisson-distributed. We will now start by loading the data.
# load data
poissondata  <- base::readRDS("tutorials/regression/data/prd.rda", "rb")| Id | Pauses | Language | Alcohol | 
|---|---|---|---|
| 45 | 0 | German | 41 | 
| 108 | 0 | Russian | 41 | 
| 15 | 0 | German | 44 | 
| 67 | 0 | German | 42 | 
| 153 | 0 | German | 40 | 
| 51 | 0 | Russian | 42 | 
| 164 | 0 | German | 46 | 
| 133 | 0 | German | 40 | 
| 2 | 0 | German | 33 | 
| 53 | 0 | German | 46 | 
| 1 | 0 | German | 40 | 
| 128 | 0 | English | 38 | 
| 16 | 0 | German | 44 | 
| 106 | 0 | German | 37 | 
| 89 | 0 | German | 40 | 
We will clean the data by factorizing Id which is currently considered a numeric variable rather than a factor.
# process data
poissondata <- poissondata %>%
  mutate(Id = factor(Id, levels = 1:200, labels = 1:200))
# inspect data
str(poissondata)'data.frame':   200 obs. of  4 variables:
 $ Id      : Factor w/ 200 levels "1","2","3","4",..: 45 108 15 67 153 51 164 133 2 53 ...
 $ Pauses  : int  0 0 0 0 0 0 0 0 0 0 ...
 $ Language: chr  "German" "Russian" "German" "German" ...
 $ Alcohol : int  41 41 44 42 40 42 46 40 33 46 ...First, we check if the conditions for a Poisson regression are met.
# output the results
gf = vcd::goodfit(poissondata$Pauses, 
                  type= "poisson", 
                  method= "ML")
# inspect results
summary(gf)
     Goodness-of-fit test for poisson distribution
                           X^2 df            P(> X^2)
Likelihood Ratio 33.0122916717  5 0.00000374234139957If the p-values is smaller than .05, then data is not Poisson distributed which means that it differs significantly from a Poisson distribution and is very likely over-dispersed. We will check the divergence from a Poisson distribution visually by plotting the observed counts against the expected counts if the data were Poisson distributed.
plot(gf,main="Count data vs Poisson distribution")
Although the goodfit function reported that the data differs significantly from the Poisson distribution, the fit is rather good. We can use an additional Levene’s test to check if variance homogeneity is given.
NOTE 
 The use of Levene’s test to check if the model is heteroscedastic is generally not recommended as it is too lax when dealing with few observations (because in such cases it does not have the power to identify heteroscedasticity) while it is too harsh when dealing with many observations (when heteroscedasticity typically is not a severe problem).
# check homogeneity
leveneTest(poissondata$Pauses, poissondata$Language, center = mean)Levene's Test for Homogeneity of Variance (center = mean)
       Df  F value        Pr(>F)    
group   2 17.15274 0.00000013571 ***
      197                           
---
Signif. codes:  0 '***' 0.001 '**' 0.01 '*' 0.05 '.' 0.1 ' ' 1The Levene’s test indicates that variance homogeneity is also violated. Since both the approximation to a Poisson distribution and variance homogeneity are violated, we should switch either to a quasi-Poisson model or a negative binomial model. However, as we are only interested in how to implement a Poisson model here, we continue despite the fact that this could not be recommended if we were actually interested in accurate results based on a reliable model.
In a next step, we summarize Progression by inspecting the means and standard deviations of the individual variable levels.
# extract mean and standard deviation
with(poissondata, tapply(Pauses, Language, function(x) {
  sprintf("M (SD) = %1.2f (%1.2f)", mean(x), sd(x))
}))               English                 German                Russian 
"M (SD) = 1.00 (1.28)" "M (SD) = 0.24 (0.52)" "M (SD) = 0.20 (0.40)" Now, we visualize the data.
# plot data
ggplot(poissondata, aes(Pauses, fill = Language)) +
  geom_histogram(binwidth=.5, position="dodge") +
  scale_fill_manual(values=c("gray30", "gray50", "gray70"))
# calculate Poisson regression
m1.poisson <- glm(Pauses ~ Language + Alcohol, family="poisson", data=poissondata)
# inspect model
summary(m1.poisson)
Call:
glm(formula = Pauses ~ Language + Alcohol, family = "poisson", 
    data = poissondata)
Coefficients:
                     Estimate    Std. Error  z value         Pr(>|z|)    
(Intercept)     -4.1632652529  0.6628774832 -6.28060 0.00000000033728 ***
LanguageGerman  -0.7140499158  0.3200148750 -2.23130         0.025661 *  
LanguageRussian -1.0838591456  0.3582529824 -3.02540         0.002483 ** 
Alcohol          0.0701523975  0.0105992050  6.61865 0.00000000003625 ***
---
Signif. codes:  0 '***' 0.001 '**' 0.01 '*' 0.05 '.' 0.1 ' ' 1
(Dispersion parameter for poisson family taken to be 1)
    Null deviance: 287.6722345  on 199  degrees of freedom
Residual deviance: 189.4496199  on 196  degrees of freedom
AIC: 373.5045031
Number of Fisher Scoring iterations: 6In addition to the Estimates for the coefficients, we could also calculate the confidence intervals for the coefficients (LL stands for lower limit and UL for upper limit in the table below).
# calculate model
cov.m1 <- sandwich::vcovHC(m1.poisson, type="HC0")
# extract standard error
std.err <- sqrt(diag(cov.m1))
# extract robust estimates
r.est <- cbind(Estimate= coef(m1.poisson), 
               "Robust SE" = std.err,
               "Pr(>|z|)" = 2 * pnorm(abs(coef(m1.poisson)/std.err),
                                      lower.tail=FALSE),
LL = coef(m1.poisson) - 1.96 * std.err,
UL = coef(m1.poisson) + 1.96 * std.err)
# inspect data
r.est                        Estimate       Robust SE                 Pr(>|z|)
(Intercept)     -4.1632652529178 0.6480942940026 0.0000000001328637743948
LanguageGerman  -0.7140499157783 0.2986422497410 0.0168031204011183932234
LanguageRussian -1.0838591456208 0.3210481575684 0.0007354744824167306532
Alcohol          0.0701523974937 0.0104351647012 0.0000000000178397516955
                              LL               UL
(Intercept)     -5.4335300691629 -2.8930004366727
LanguageGerman  -1.2993887252708 -0.1287111062859
LanguageRussian -1.7131135344549 -0.4546047567867
Alcohol          0.0496994746793  0.0906053203082We can now calculate the p-value of the model.
with(m1.poisson, cbind(res.deviance = deviance, df = df.residual,
  p = pchisq(deviance, df.residual, lower.tail=FALSE)))     res.deviance  df              p
[1,] 189.44961991 196 0.618227445717Now, we check, if removing Language leads to a significant decrease in model fit.
# remove Language from the model
m2.poisson <- update(m1.poisson, . ~ . -Language)
# check if dropping Language causes a significant decrease in model fit
anova(m2.poisson, m1.poisson, test="Chisq")Analysis of Deviance Table
Model 1: Pauses ~ Alcohol
Model 2: Pauses ~ Language + Alcohol
  Resid. Df  Resid. Dev Df   Deviance   Pr(>Chi)    
1       198 204.0213018                             
2       196 189.4496199  2 14.5716819 0.00068517 ***
---
Signif. codes:  0 '***' 0.001 '**' 0.01 '*' 0.05 '.' 0.1 ' ' 1We now calculate robust coefficients using the msm package (Jackson 2011).
# get estimates
s <- msm::deltamethod(list(~ exp(x1), ~ exp(x2), ~ exp(x3), ~ exp(x4)), 
                                                coef(m1.poisson), cov.m1)
# exponentiate old estimates dropping the p values
rexp.est <- exp(r.est[, -3])
# replace SEs with estimates for exponentiated coefficients
rexp.est[, "Robust SE"] <- s
# display results
rexp.est                       Estimate       Robust SE               LL
(Intercept)     0.0155566784084 0.0100821945101 0.00436765044896
LanguageGerman  0.4896571063601 0.1462322998451 0.27269843575906
LanguageRussian 0.3382875026084 0.1086065794408 0.18030353649622
Alcohol         1.0726716412682 0.0111935052470 1.05095521026088
                             UL
(Intercept)     0.0554097096208
LanguageGerman  0.8792279322820
LanguageRussian 0.6346987787641
Alcohol         1.0948368101199# extract predicted values
(s1 <- data.frame(Alcohol = mean(poissondata$Alcohol),
  Language = factor(1:3, levels = 1:3, labels = names(table(poissondata$Language)))))  Alcohol Language
1  52.645  English
2  52.645   German
3  52.645  Russian# show results
predict(m1.poisson, s1, type="response", se.fit=TRUE)$fit
             1              2              3 
0.624944591447 0.306008560283 0.211410945109 
$se.fit
              1               2               3 
0.0862811728183 0.0883370633684 0.0705010813453 
$residual.scale
[1] 1## calculate and store predicted values
poissondata$Predicted <- predict(m1.poisson, type="response")
## order by program and then by math
poissondata <- poissondata[with(poissondata, order(Language, Alcohol)), ]## create the plot
ggplot(poissondata, aes(x = Alcohol, y = Predicted, colour = Language)) +
  geom_point(aes(y = Pauses), alpha=.5, 
             position=position_jitter(h=.2)) +
  geom_line(size = 1) +
  labs(x = "Alcohol (ml)", y = "Expected number of pauses") +
  scale_color_manual(values=c("gray30", "gray50", "gray70"))
Robust Regression
Robust regression represent an alternative to simple linear models which can handle overly influential data points (outliers). Robust regressions allow us to retain outliers in the data rather than having to remove them from the data by adding weights (Rousseeuw and Leroy 2005). Thus, robust regressions are used when there are outliers present in the data and we can thus not use traditional models but we have no good argument to remove these data points.
NOTE 
 Robust regressions allow us to handle overly influential data points (outliers) by using weights. Thus, robust regressions enable us to retain all data points.
We begin by loading a data set (the mlrdata set which have used for multiple linear regression).
# load data
robustdata  <- base::readRDS("tutorials/regression/data/mld.rda", "rb")| status | attraction | money | 
|---|---|---|
| Relationship | NotInterested | 86.33 | 
| Relationship | NotInterested | 45.58 | 
| Relationship | NotInterested | 68.43 | 
| Relationship | NotInterested | 52.93 | 
| Relationship | NotInterested | 61.86 | 
| Relationship | NotInterested | 48.47 | 
| Relationship | NotInterested | 32.79 | 
| Relationship | NotInterested | 35.91 | 
| Relationship | NotInterested | 30.98 | 
| Relationship | NotInterested | 44.82 | 
| Relationship | NotInterested | 35.05 | 
| Relationship | NotInterested | 64.49 | 
| Relationship | NotInterested | 54.50 | 
| Relationship | NotInterested | 61.48 | 
| Relationship | NotInterested | 55.51 | 
We first fit an ordinary linear model (and although we know from the section on multiple regression that the interaction between status and attraction is significant, we will disregard this for now as this will help to explain the weighing procedure which is the focus of this section).
# create model
slm <- lm(money ~ status+attraction, data = robustdata)
# inspect model
summary(slm)
Call:
lm(formula = money ~ status + attraction, data = robustdata)
Residuals:
      Min        1Q    Median        3Q       Max 
-60.87070 -15.78645  -2.61010  13.88770  59.93710 
Coefficients:
                            Estimate   Std. Error   t value
(Intercept)             114.94950000   4.28993616  26.79515
statusSingle             26.10340000   4.95359160   5.26959
attractionNotInterested -79.25220000   4.95359160 -15.99894
                                      Pr(>|t|)    
(Intercept)             < 0.000000000000000222 ***
statusSingle                     0.00000082576 ***
attractionNotInterested < 0.000000000000000222 ***
---
Signif. codes:  0 '***' 0.001 '**' 0.01 '*' 0.05 '.' 0.1 ' ' 1
Residual standard error: 24.767958 on 97 degrees of freedom
Multiple R-squared:  0.745229335,   Adjusted R-squared:  0.739976331 
F-statistic: 141.867286 on 2 and 97 DF,  p-value: < 0.0000000000000002220446We now check whether the model is well fitted using diagnostic plots.
# generate plots
autoplot(slm) + 
  theme(panel.grid.major = element_blank(), panel.grid.minor = element_blank()) 
The diagnostic plots indicate that there are three outliers in the data (data points 52, 83 and possibly 64). Therefore, we need to evaluate if the outliers severely affect the fit of the model.
robustdata[c(52, 64, 83),]   status    attraction  money
52 Single NotInterested   0.93
64 Single NotInterested  84.28
83 Single    Interested 200.99We can now calculate Cook’s distance and standardized residuals check if the values of the potentially problematic points have unacceptably high values (-2 < ok < 2).
CooksDistance <- cooks.distance(slm)
StandardizedResiduals <- stdres(slm)
a <- cbind(robustdata, CooksDistance, StandardizedResiduals)
a[CooksDistance > 4/100, ]         status    attraction  money   CooksDistance StandardizedResiduals
1  Relationship NotInterested  86.33 0.0444158829857         2.07565427025
52       Single NotInterested   0.93 0.0641937458854        -2.49535435377
65       Single NotInterested  12.12 0.0427613629698        -2.03662765573
67       Single NotInterested  13.28 0.0407877963315        -1.98907421786
83       Single    Interested 200.99 0.0622397126545         2.45708203516
84       Single    Interested 193.69 0.0480020776213         2.15782333134
88       Single    Interested 193.78 0.0481663678409         2.16151282221We will calculate the absolute value and reorder the table so that it is easier to check the values.
AbsoluteStandardizedResiduals <- abs(StandardizedResiduals)
a <- cbind(robustdata, CooksDistance, StandardizedResiduals, AbsoluteStandardizedResiduals)
asorted <- a[order(-AbsoluteStandardizedResiduals), ]
asorted[1:10, ]         status    attraction  money   CooksDistance StandardizedResiduals
52       Single NotInterested   0.93 0.0641937458854        -2.49535435377
83       Single    Interested 200.99 0.0622397126545         2.45708203516
88       Single    Interested 193.78 0.0481663678409         2.16151282221
84       Single    Interested 193.69 0.0480020776213         2.15782333134
1  Relationship NotInterested  86.33 0.0444158829857         2.07565427025
65       Single NotInterested  12.12 0.0427613629698        -2.03662765573
67       Single NotInterested  13.28 0.0407877963315        -1.98907421786
78       Single    Interested 188.76 0.0394313968241         1.95572122040
21 Relationship NotInterested  81.90 0.0369837409025         1.89404933081
24 Relationship NotInterested  81.56 0.0364414260634         1.88011125419
   AbsoluteStandardizedResiduals
52                 2.49535435377
83                 2.45708203516
88                 2.16151282221
84                 2.15782333134
1                  2.07565427025
65                 2.03662765573
67                 1.98907421786
78                 1.95572122040
21                 1.89404933081
24                 1.88011125419As Cook’s distance and the standardized residuals do have unacceptable values, we re-calculate the linear model as a robust regression and inspect the results
# create robust regression model
rmodel <- robustbase::lmrob(money ~ status + attraction, data = robustdata)
# inspect model
summary(rmodel)
Call:
robustbase::lmrob(formula = money ~ status + attraction, data = robustdata)
 \--> method = "MM"
Residuals:
         Min           1Q       Median           3Q          Max 
-61.14269796 -15.20405781  -1.48712081  14.43502508  62.42342804 
Coefficients:
                            Estimate   Std. Error   t value
(Intercept)             113.18405781   3.89777692  29.03811
statusSingle             25.38251415   5.08841106   4.98830
attractionNotInterested -76.49387400   5.06626449 -15.09867
                                      Pr(>|t|)    
(Intercept)             < 0.000000000000000222 ***
statusSingle                      0.0000026725 ***
attractionNotInterested < 0.000000000000000222 ***
---
Signif. codes:  0 '***' 0.001 '**' 0.01 '*' 0.05 '.' 0.1 ' ' 1
Robust residual standard error: 22.3497532 
Multiple R-squared:  0.740716949,   Adjusted R-squared:  0.735370907 
Convergence in 11 IRWLS iterations
Robustness weights: 
 10 weights are ~= 1. The remaining 90 ones are summarized as
       Min.     1st Qu.      Median        Mean     3rd Qu.        Max. 
0.415507215 0.856134403 0.947485769 0.889078657 0.986192099 0.998890516 
Algorithmic parameters: 
           tuning.chi                    bb            tuning.psi 
1.5476399999999999046 0.5000000000000000000 4.6850610000000001421 
           refine.tol               rel.tol             scale.tol 
0.0000001000000000000 0.0000001000000000000 0.0000000001000000000 
            solve.tol              zero.tol           eps.outlier 
0.0000001000000000000 0.0000000001000000000 0.0010000000000000000 
                eps.x     warn.limit.reject     warn.limit.meanrw 
0.0000000000018189894 0.5000000000000000000 0.5000000000000000000 
     nResample         max.it       best.r.s       k.fast.s          k.max 
           500             50              2              1            200 
   maxit.scale      trace.lev            mts     compute.rd fast.s.large.n 
           200              0           1000              0           2000 
                  psi           subsampling                   cov 
           "bisquare"         "nonsingular"         ".vcov.avar1" 
compute.outlier.stats 
                 "SM" 
seed : int(0) The output shows that both status and attraction are significant but, as we have seen above, the effect that really matters is the interaction between status and attraction.
We will briefly check the weights to understand the process of weighing better. The idea of weighing is to downgrade data points that are too influential while not punishing data points that have a good fit and are thus less influential. This means that the problematic data points should have lower weights than other data points (the maximum is 1 - so points can only be made “lighter”).
hweights <- data.frame(status = robustdata$status, resid = rmodel$resid, weight = rmodel$rweights)
hweights2 <- hweights[order(rmodel$rweights), ]
hweights2[1:15, ]         status          resid         weight
83       Single  62.4234280426 0.415507214894
52       Single -61.1426979566 0.434323578289
88       Single  55.2134280426 0.521220526760
84       Single  55.1234280426 0.522529106622
78       Single  50.1934280426 0.593234343069
65       Single -49.9526979566 0.596626306571
1  Relationship  49.6398161925 0.601024865582
67       Single -48.7926979566 0.612874578464
21 Relationship  45.2098161925 0.661914499988
24 Relationship  44.8698161925 0.666467581490
39 Relationship -43.8940578083 0.679427975993
79       Single  40.8234280426 0.719104361372
58       Single -40.5226979566 0.722893449575
89       Single  39.9734280426 0.729766992775
95       Single  39.8234280426 0.731633375015The values of the weights support our assumption that those data points that were deemed too influential are made lighter as they now only have weights of 0.4155072 and 0.4343236 respectively. This was, however, not the focus of this sections as this section merely served to introduce the concept of weights and how they can be used in the context of a robust linear regression.
That’s it for this tutorial. We hope that you have enjoyed this tutorial and learned how to perform regression analysis including model fitting and model diagnostics as well as reporting regression results.
Citation & Session Info
Schweinberger, Martin. 2025. Regression Analysis in R. Brisbane: The University of Queensland. url: https://ladal.edu.au/tutorials/regression.html (Version 2025.04.02).
@manual{schweinberger2025regression,
  author = {Schweinberger, Martin},
  title = {Regression Analysis in R},
  note = {tutorials/regression/regression.html},
  year = 2025,
  organization = "The University of Queensland, Australia. School of Languages and Cultures},
  address = {Brisbane},
  edition = {2025.04.02}
}sessionInfo()R version 4.4.3 (2025-02-28)
Platform: x86_64-apple-darwin20
Running under: macOS Sequoia 15.7
Matrix products: default
BLAS:   /Library/Frameworks/R.framework/Versions/4.4-x86_64/Resources/lib/libRblas.0.dylib 
LAPACK: /Library/Frameworks/R.framework/Versions/4.4-x86_64/Resources/lib/libRlapack.dylib;  LAPACK version 3.12.0
locale:
[1] en_AU.UTF-8/en_AU.UTF-8/en_AU.UTF-8/C/en_AU.UTF-8/en_AU.UTF-8
time zone: Australia/Sydney
tzcode source: internal
attached base packages:
[1] grid      stats     graphics  grDevices datasets  utils     methods  
[8] base     
other attached packages:
 [1] ggfortify_0.4.19    performance_0.13.0  gridExtra_2.3      
 [4] vcd_1.4-13          sjPlot_2.8.17       robustbase_0.99-4-1
 [7] rms_8.0-0           MASS_7.3-60.2       knitr_1.49         
[10] Hmisc_5.2-3         car_3.1-3           carData_3.0-5      
[13] ggpubr_0.6.0        flextable_0.9.7     lubridate_1.9.4    
[16] forcats_1.0.0       stringr_1.5.1       dplyr_1.1.4        
[19] purrr_1.0.2         readr_2.1.5         tidyr_1.3.1        
[22] tibble_3.2.1        ggplot2_4.0.0       tidyverse_2.0.0    
loaded via a namespace (and not attached):
  [1] RColorBrewer_1.1-3      rstudioapi_0.17.1       jsonlite_2.0.0         
  [4] datawizard_1.0.2        magrittr_2.0.3          TH.data_1.1-3          
  [7] estimability_1.5.1      farver_2.1.2            rmarkdown_2.29         
 [10] ragg_1.4.0              vctrs_0.6.5             askpass_1.2.1          
 [13] base64enc_0.1-3         effectsize_1.0.0        rstatix_0.7.2          
 [16] htmltools_0.5.8.1       polspline_1.1.25        haven_2.5.4            
 [19] broom_1.0.7             pROC_1.18.5             Formula_1.2-5          
 [22] sjmisc_2.8.10           caret_7.0-1             parallelly_1.43.0      
 [25] htmlwidgets_1.6.4       plyr_1.8.9              sandwich_3.1-1         
 [28] emmeans_1.11.0          zoo_1.8-14              uuid_1.2-1             
 [31] lifecycle_1.0.4         iterators_1.0.14        pkgconfig_2.0.3        
 [34] sjlabelled_1.2.0        Matrix_1.7-0            R6_2.6.1               
 [37] fastmap_1.2.0           future_1.40.0           digest_0.6.37          
 [40] colorspace_2.1-1        patchwork_1.3.0         textshaping_1.0.0      
 [43] labeling_0.4.3          timechange_0.3.0        abind_1.4-8            
 [46] mgcv_1.9-1              compiler_4.4.3          proxy_0.4-27           
 [49] fontquiver_0.2.1        withr_3.0.2             htmlTable_2.4.3        
 [52] S7_0.2.0                backports_1.5.0         ggsignif_0.6.4         
 [55] lava_1.8.1              quantreg_6.00           openssl_2.3.1          
 [58] sjstats_0.19.0          ModelMetrics_1.2.2.2    tools_4.4.3            
 [61] foreign_0.8-88          lmtest_0.9-40           zip_2.3.1              
 [64] future.apply_1.11.3     nnet_7.3-19             glue_1.8.0             
 [67] nlme_3.1-164            checkmate_2.3.2         reshape2_1.4.4         
 [70] cluster_2.1.6           recipes_1.3.0           see_0.11.0             
 [73] generics_0.1.3          gtable_0.3.6            tzdb_0.5.0             
 [76] class_7.3-22            data.table_1.16.4       hms_1.1.3              
 [79] xml2_1.3.6              ggrepel_0.9.6           foreach_1.5.2          
 [82] pillar_1.10.2           splines_4.4.3           lattice_0.22-6         
 [85] renv_1.1.4              survival_3.5-8          SparseM_1.84-2         
 [88] tidyselect_1.2.1        fontLiberation_0.1.0    fontBitstreamVera_0.1.1
 [91] svglite_2.1.3           stats4_4.4.3            xfun_0.50              
 [94] report_0.6.1            expm_1.0-0              hardhat_1.4.1          
 [97] timeDate_4041.110       DEoptimR_1.1-3-1        stringi_1.8.4          
[100] yaml_2.3.10             kableExtra_1.4.0        evaluate_1.0.3         
[103] codetools_0.2-20        officer_0.6.7           msm_1.8.2              
[106] gdtools_0.4.1           cli_3.6.5               rpart_4.1.24           
[109] xtable_1.8-4            parameters_0.24.2       systemfonts_1.2.1      
[112] Rcpp_1.0.14             globals_0.17.0          ggeffects_2.2.1        
[115] coda_0.19-4.1           parallel_4.4.3          MatrixModels_0.5-3     
[118] gower_1.0.2             bayestestR_0.15.3       listenv_0.9.1          
[121] viridisLite_0.4.2       mvtnorm_1.3-3           ipred_0.9-15           
[124] e1071_1.7-16            prodlim_2025.04.28      scales_1.4.0           
[127] insight_1.2.0           rlang_1.1.6             cowplot_1.1.3          
[130] multcomp_1.4-28        References
Footnotes
- I’m extremely grateful to Stefan Thomas Gries who provided very helpful feedback and pointed out many errors in previous versions of this tutorial. All remaining errors are, of course, my own.↩︎ 
- I’m very grateful to Antonio Dello Iacono who pointed out that the plots require additional discussion.↩︎ 
- I’m very grateful to Antonio Dello Iacono who pointed out that a previous version of this tutorial misinterpreted the results as I erroneously reversed the group results.↩︎